Treść zadania
Autor: ~basia Dodano: 14.5.2012 (17:06)
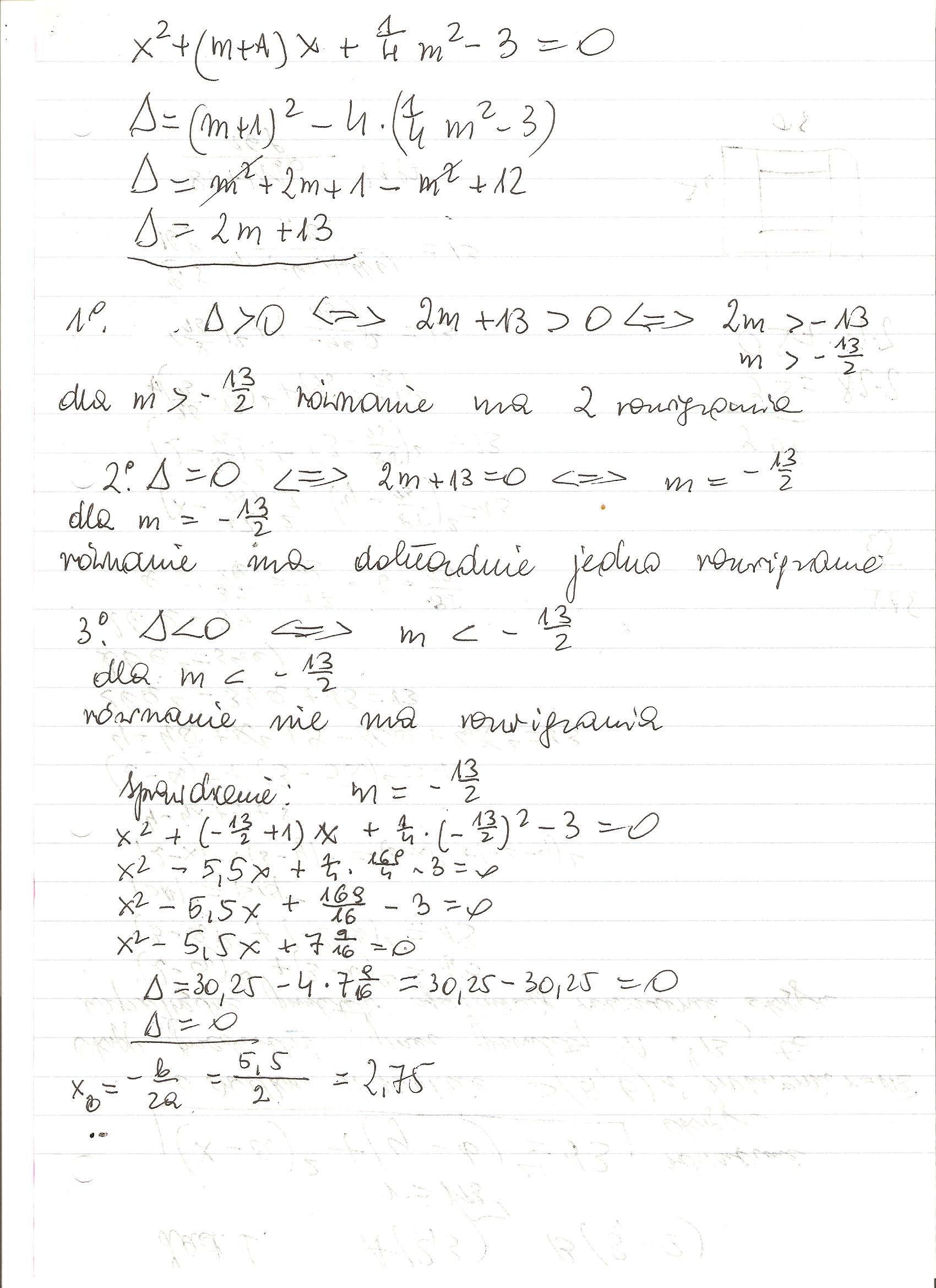
zad.1
Zbadaj dla jakich wartosci parametru "m" równanie x2 +(m+1)x+1/4 m2-3=0
a) Ma dwa różne rozwiazania
b) Ma dokladnie jedno rozwiazanie
c) Nie ma rozwiazania
Zadanie jest zamknięte. Autor zadania wybrał już najlepsze rozwiązanie lub straciło ono ważność.
Rozwiązania
Podobne zadania
|
|
1 rozwiązanie | autor: xnika502x 6.4.2010 (16:07) |
|
|
2 rozwiązania | autor: xnika502x 6.4.2010 (16:07) |
|
|
1 rozwiązanie | autor: annaszalla 21.5.2010 (16:52) |
|
|
1 rozwiązanie | autor: ruda147 6.9.2010 (17:57) |
|
|
1 rozwiązanie | autor: maanta 11.9.2010 (22:19) |
Podobne materiały
Przydatność 50% ”Jakich marzeń jestem ambasadorem?”
Marzenia ma każdy. Niektórych trzymają przy życiu, innych motywują do pracy i wysiłku, który prowadzi do ich ziszczenia a, jeszcze innym ukazują świat ze snów i budują całą rzeczywistość. Towarzyszą każdemu człowiekowi na każdym etapie jego życia. Były, są i będą - odwieczne i niezmienne. Każdy powinien je mieć, bo dzięki nim nieraz nasze życie z szarej codzienności...
Przydatność 50% Prometeusz autorytetem jakich współczesnych ludzi
Prometeusz był wspaniałym tytanem, a jego imię znaczy właściwie „przewidujący”. Ulepił on człowieka z gliny zmieszanej ze złami i tchnął w niego duszę z ognia niebieskiego. Człowiek jednak był słaby, nagi i nie umiał się bronić. Prometeusz, pragnąc mu pomóc, ukradł z gór Olimpu ogień i zaniósł go ludziom na ziemię. Od tej pory mogli się ogrzać, ugotować...
Przydatność 70% Jakich bohaterów potrzebujemy? Rozważania nad ideą bohaterstwa
Bohater to człowiek, który wyróżnia się w sposób szczególny od szarej masy społeczeństwa. Stawia on sobie szlachetne cele, których realizacji nie podjąłby się żaden zwykły śmiertelnik. Sam wybiera drogę i za wszelką cenę dąży do wypełnienia swojej misji. Działania te nadają sens i kształt jego życiu. Idea bohaterstwa, formowana głównie przez literaturę,...
Przydatność 100% Ludzie mają takich władców, na jakich zasługują
? Ludzie mają takich władców, na jakich zasługują?. Ale czy na pewno? Nie każdy zgodziłby się z tym stwierdzeniem. Ja również nie uważam powyższego zdania za całkiem właściwe. Bóg, który jest twórcą wszelkiego porządku na świecie zsyła ludzkości nie tylko same dobrodziejstwa, ale niekiedy to, z czego nie potrafimy zaakceptować. Nikt do końca nie...
Przydatność 55% Scharakteryzuj na jakich zasadach funkcjonuje Unia Europejska
Unia Europejska jest to gospodarczo-polityczny związek dwudziestu siedmiu państw krajów europejskich w tym również Polski(od 1maja 2004roku), będącym efektem wieloletniego zbliżania się krajów Europy zachodniej. Jest kilka przyczyn integracji Unii Europejskiej. Niektóre przyczyny wymienia Winston Churchill(materiał pomocniczy nr1 część2) w swoim wystąpieniu. mówi on o...
0 odpowiada - 0 ogląda - 1 rozwiązań
0 0
rybitwa11 14.5.2012 (18:50)
rozw w zał
Załączniki
Dodawanie komentarzy zablokowane - Zgłoś nadużycie