Treść zadania

Przebijgrb

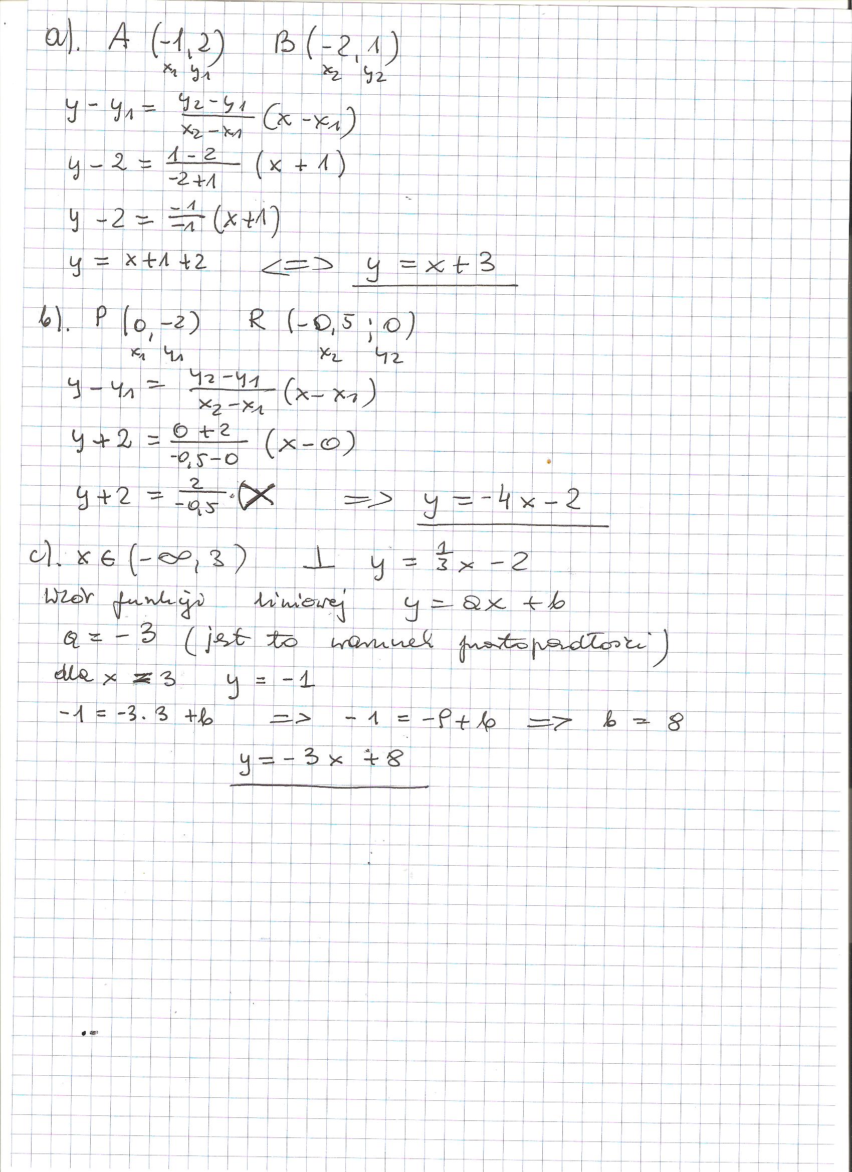
Napisz wzór funkcji liniowej, której wykres
a) przechodzi przez punkty A(-1,2) i B(-2,1)
b) przecina osie współrzędnych w punktach P)0,-2) i R (-0,5;0)
c) przyjmuje tylko wartości dodatnie dla x należy do (- nieskończoność , 3) i jej wykres jest prostopadły do wykresu funkcji y=1/3x - 2

Zadanie jest zamknięte. Autor zadania wybrał już najlepsze rozwiązanie lub straciło ono ważność.

Rozwiązania

Podobne zadania

agatka wierzchołkami trójkąta ABC są punkty: A=(-2,-1)B=(6,1) C=(7,10) napisz Przedmiot: Matematyka / Liceum 2 rozwiązania autor: agatka 29.3.2010 (09:25)
iwona5000 Punkty A=(-1,3) i C=(7,9) są przeciwległymi wierzchołkami prostokąta ABCD. Przedmiot: Matematyka / Liceum 2 rozwiązania autor: iwona5000 17.4.2010 (11:34)
Nieznany Wypisz własności funkcji y=cos x Przedmiot: Matematyka / Liceum 1 rozwiązanie autor: Konto usunięte 8.4.2010 (18:17)
rafaljanek Napisz równanie prostej prostopadłej do prostej 6x-y+2=0 i przechodzącej Przedmiot: Matematyka / Liceum 2 rozwiązania autor: rafaljanek 8.4.2010 (19:03)
aluszacedro punkty A=(-3,2) B=(5,-2) C=(4,3) są kolejnymi wierzchołkami trapezu ABCD o Przedmiot: Matematyka / Liceum 1 rozwiązanie autor: aluszacedro 12.4.2010 (15:26)

Podobne materiały

Przydatność 60% Własności funkcji liniowej

Jest to prezentacja multimedialna Mspp2003 mojego autorstwa spakowana w archiwum winrara. Osobiście robiłem ją na 4 z matmy także jest okej. Pozdrawiam

Przydatność 65% Wykres równowagi układu żelazo

Wykres równowagi układu żelazo-węgiel, to wykres , który odzwierciedla równowagę fazową w stopach żelaza z węglem. Jest przedstawiany w dwóch wersjach : jako stabilny żelazo-grafit i metastabilny żelazo-cementyt Fe3 C. Pierwszy jest stosowany do opisu żeliw /surówek/ szarych, a drugi do stali i surówek białych. Wykres metastabilny rysowany jest linią ciągłą, a stabilny...

Przydatność 70% Saint Simon - główne punkty jego myśli socjologicznej

1. Wpływ Wielkiej Rewolucji Francuskiej na myśl Saint-Simona Za punkt wyjścia do przedstawienia poglądów Saint-Simona przyjmuje się moment, w którym zdał on sobie sprawę, że rozwój społeczeństwa w okresie między Reformacją a Rewolucją Francuską i wojnami napoleońskimi doprowadził do rozkładu porządku feudalnego, ale na jego miejsce nie wniósł porządku równie...

Przydatność 60% Minimalizacja funkcji logicznych

Minimalizacja funkcji logicznych

Przydatność 55% Gradient funkcji. Różniczka zupełna

Gradient funkcji. Różniczka zupełna

0 odpowiada - 0 ogląda - 1 rozwiązań

Dodaj zadanie

Zobacz więcej opcji