Treść zadania
Autor: Sailor_Moon Dodano: 9.5.2012 (19:10)
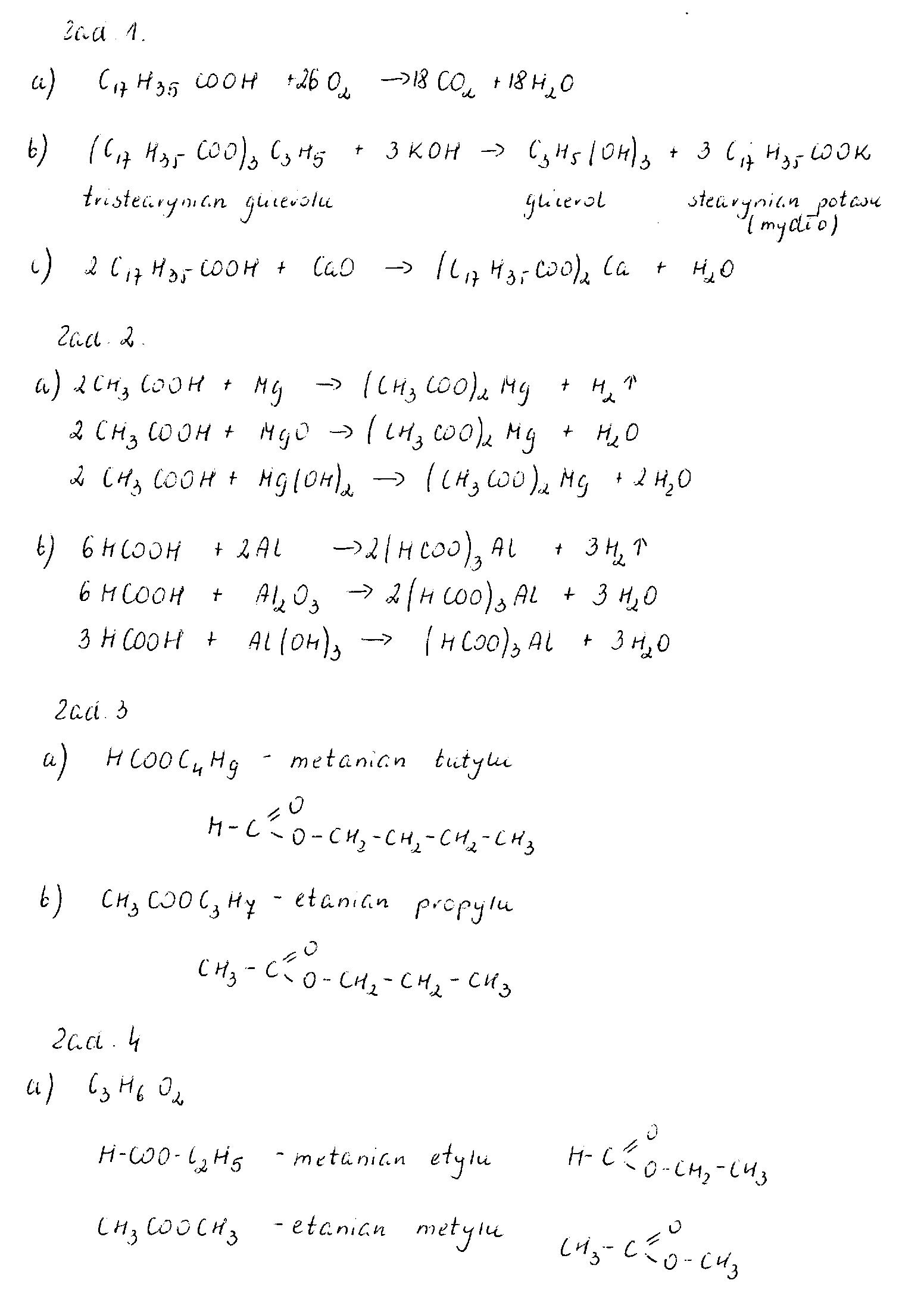
1. Ułóż równania reakcji:
a) spalania całkowitego kwasu stearynowego
b) otrzymywania mydła potasowego
c) otrzymywania stearynianu wapnia
2. Napisz trzema sposobami równania reakcji otrzymywania:
a) etanianu magnezu b) metanianu glinu
3. Podaj wzory sumaryczne i półstrukturalne estrów:
a) metanian butylu b) etanian propylu
4. Napisz wzory strukturalne i podaj nazwy wszystkich możliwych estrów o podanych wzorach sumarycznych.
a) C3H6O2 b) C4H8O2
5. Ułóż równania reakcji otrzymywania:
a) butanianu butylu b) etanianu propylu
Zadanie jest zamknięte. Autor zadania wybrał już najlepsze rozwiązanie lub straciło ono ważność.
Najlepsze rozwiązanie
Rozwiązania
Podobne zadania
|
|
1 rozwiązanie | autor: zania344 15.5.2010 (13:14) |
|
|
1 rozwiązanie | autor: kasiatorzawa 2.10.2010 (14:43) |
|
|
1 rozwiązanie | autor: 1wertyui 14.10.2010 (12:40) |
|
|
2 rozwiązania | autor: karolina69 2.11.2010 (10:13) |
|
|
1 rozwiązanie | autor: anusiax91 6.11.2010 (15:15) |
Podobne materiały
Przydatność 60% Ogólne wzory spalania węglowodorów
wzór ogólny alkanów: C(n) H(2n+2) wzór ogólny alkenów: C(n) H(2n) wzór ogólny alkinów: C(n) H(2n-2) reszta - patrz załącznik
Przydatność 75% Czujniki spalania stukowego
Czujniki stuku systemu Motronic 3.8: a) silnika 20V, b) silnika V5 Jednymi z najczęściej stosowanych czujników są czujniki przyśpieszeń zwane akcelerometrami. Detektory pracujące z tym rodzajem czujników dokonują analizy widmowej lub czasowej sygnału pochodzącego z czujnika próbując dokonać detekcji spalania stukowego. Na rysunku obok przedstawione są szczegóły konstrukcyjne...
Przydatność 70% Czujniki spalania stukowego
Czujniki stuku systemu Motronic 3.8: a) silnika 20V, b) silnika V5 Jednymi z najczęściej stosowanych czujników są czujniki przyśpieszeń zwane akcelerometrami. Detektory pracujące z tym rodzajem czujników dokonują analizy widmowej lub czasowej sygnału pochodzącego z czujnika próbując dokonać detekcji spalania stukowego. Na rysunku obok przedstawione są szczegóły...
Przydatność 70% Reakcje Spalania Alkoholi
Reakcja Spalania metanolu: Spalanie całkowite: 2 CH3OH + 3 O2 → 2 CO2 + 4 H2O Półspalanie: 2 CH3OH + 2 O2 → 2 CO + 4 H2O Spalanie niecałkowite: 2CH3OH + O2 → 2C + 4H2O Reakcja Spalania etanolu: Całkowite C₂H₅OH + 3O₂ -> 2CO₂ + 3H₂O Półspalanie C₂H₅OH + 2O₂ -> 2CO + 3H₂O Niecałkowite C₂H₅OH + O₂ -> 2C + 3H₂O...
Przydatność 65% Proces spalania w silniku ZI
Procesy spalania w silniku ZI Obieg pracy w cylindrze tłokowego silnika ZI obejmuje cykl powtarzających się procesów fizykochemicznych , do których zaliczamy: - napełnianie cylindra mieszanką paliwowo powietrzną -sprężanie mieszanki paliwowo powietrznej -spalanie mieszanki paliwowo powietrznej -rozprężanie się gazów spalinowych, w czasie którego zostaje...
0 odpowiada - 0 ogląda - 1 rozwiązań
3 0
ewka13 10.5.2012 (21:24)
Rozwiązanie w załącznikach :
Załączniki
Dodawanie komentarzy zablokowane - Zgłoś nadużycie