Treść zadania

Pati_fajna

Bardzo prosze o dobre rozwiązania do tych zadan.
Zadania są w załączniku . Z góry dziękuje ;)

Załączniki do zadania

Zadanie jest zamknięte. Autor zadania wybrał już najlepsze rozwiązanie lub straciło ono ważność.

Najlepsze rozwiązanie

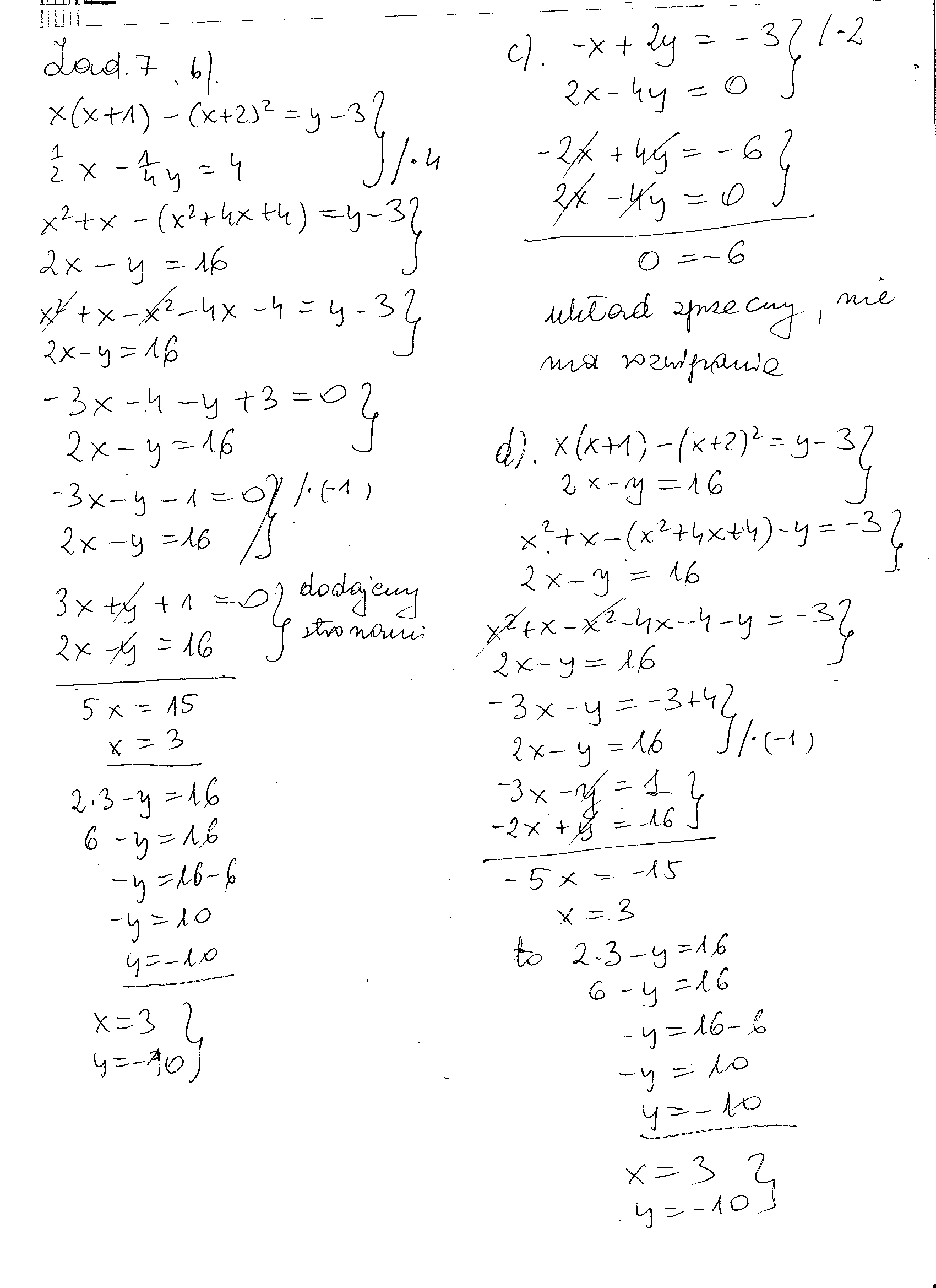
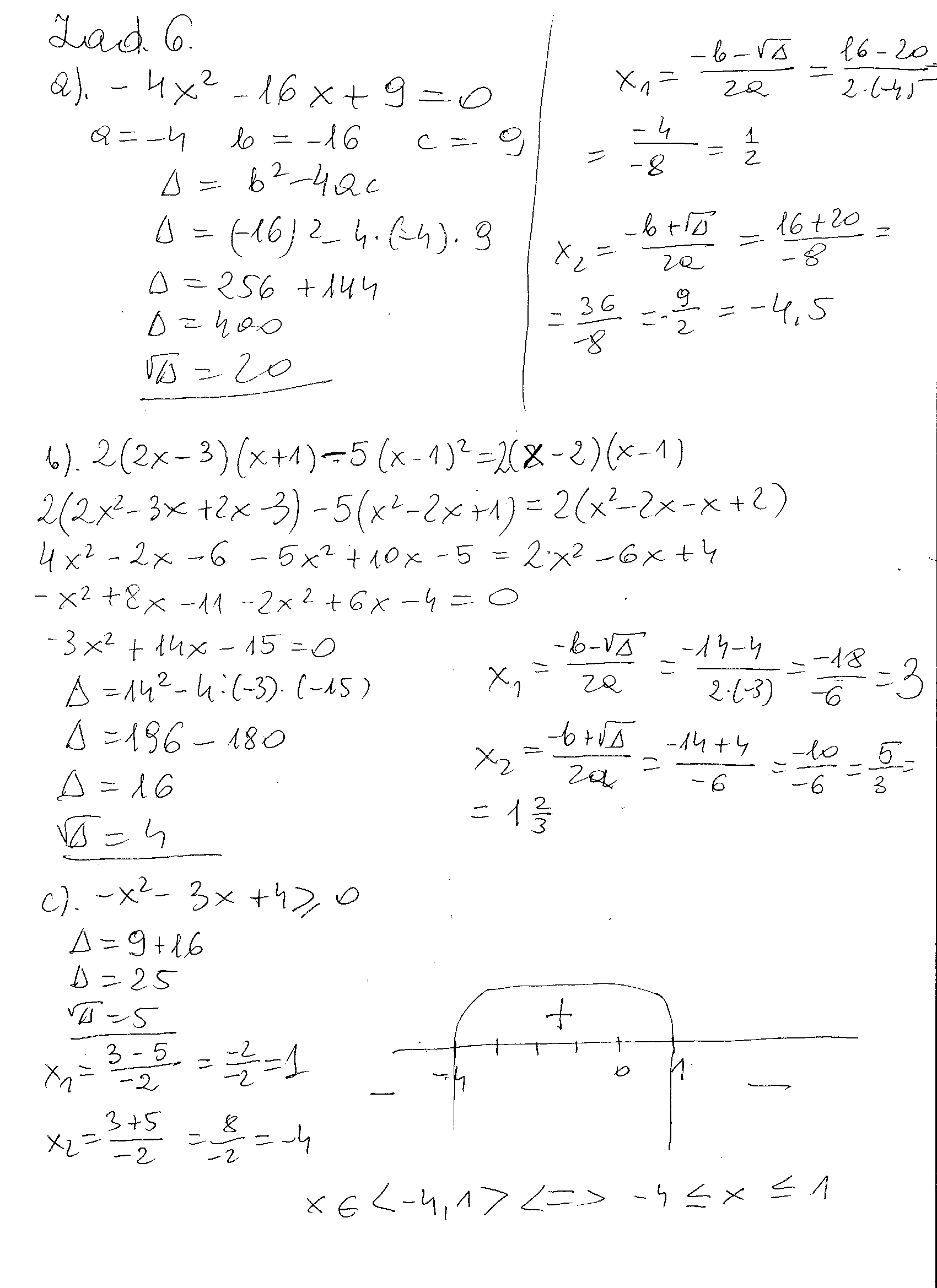
Rozwiązania

Podobne zadania

mania1408-k1 proszę o pomoc zadania na jutro. Przedmiot: Matematyka / Liceum 2 rozwiązania autor: mania1408-k1 13.4.2010 (16:43)
mania1408-k1 proszę o pomoc zadania na jutro. Przedmiot: Matematyka / Liceum 1 rozwiązanie autor: mania1408-k1 13.4.2010 (16:49)
CyborgR Prosze o pomoc, krotkie zadanie. Przedmiot: Matematyka / Liceum 2 rozwiązania autor: CyborgR 17.4.2010 (18:13)
mala53 Bardzo proszę o pomoc! Przedmiot: Matematyka / Liceum 1 rozwiązanie autor: mala53 19.4.2010 (11:00)
mania1408-k1 Pole i wycinek koła.pomocy ! zadania na jutro. Przedmiot: Matematyka / Liceum 1 rozwiązanie autor: mania1408-k1 20.4.2010 (15:12)

Podobne materiały

Przydatność 50% Wuglaryzmy dobre czy nie?

Wulgaryzmy to przde wszystkim słowa bardzo negatywne. Używanie słów wulgarnych jest niekulturalne i świadczy o wychowaniu i posiadanej kulturze. Oczywiście słów tych nie wolno używać, ale są pewne możliwości np. jeżeli ktoś idzie w sandałach i uderzy małym palcem o wystający krawężnik to w tym wypadku może powiedzieć słowo "kluczowe- kurwa". W literaturze...

Przydatność 65% Sposób na dobre CV

Dobre CV może być kluczem do sukcesu, gdyż właśnie od przejrzenia CV rozpoczyna się zazwyczaj weryfikacja kandydatów. Ważne jest, aby życiorys zawierał informacje, których oczekuje osoba rekrutująca ale także, aby pozbawiony był błędów. Przeczytaj jakie błędy popełniają najczęściej osoby piszące CV. Jakie są główne zasady konstruowania CV? Prostota,...

Przydatność 50% Felieton Dobre Kłamstwo

FELIETON O KŁAMSTWIE Popularność kłamstwa w codziennym życiu jest zadziwiająca. Kłamiemy wszyscy, niezależnie od wieku, płci i rasy. Ta niezwykła sztuka wypaczania faktów wymaga nie lada umiejętności. Ludzie kłamali od wieków. Często niosło to za sobą zgubne konsekwencje. Ale do dziś zdarzają się sytuacje, w których to właśnie kłamstwo służy dobru innych ludzi....

Przydatność 80% Jak napisać dobre podanie

Podanie na kartce w kratkę różni się nieznacznie od drukowanego - trzeba zachować odpowiednie proporcje i estetykę pracy. Przede wszystkim od brzegów i góry kartki trzeba odliczyć 2 kratki. Nie wolno nam po nich pisać - są dla nas nietykalne. W prawym górnym rogu umieszczamy nazwę miejscowości i datę. Należy napisać ją tak, aby nie przekraczała nawet na 1 mm naszego...

Przydatność 90% Jak napisać dobre zaproszenie

Zaproszenie zaliczamy do krótkich form wypowiedzi. Pojawia się ono często na testach. Jego pisanie jest banalnie proste. Oto poradnik jak je napisać krok po kroku: Najpierw musimy umieścić tytuł "Zaproszenie" na środku linijki. Opuszczamy linijkę, i od akapitu rozpoczynamy nasze zaproszenie. Na początku najlepiej napisać zwrot typu "Serdecznie zapraszam"...

0 odpowiada - 0 ogląda - 1 rozwiązań

Dodaj zadanie

Zobacz więcej opcji