Treść zadania

summerday

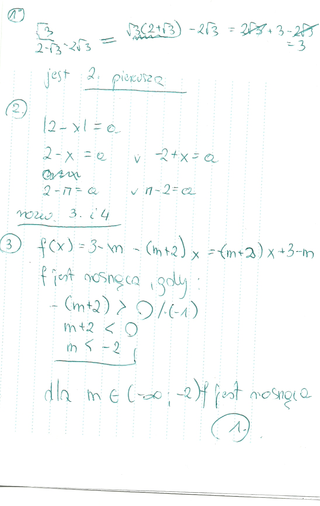
W załączniku 3 zadania zamknięte maturalne za rozwiązania i odpowiedź dam NAJ

Załączniki do zadania

Zadanie jest zamknięte. Autor zadania wybrał już najlepsze rozwiązanie lub straciło ono ważność.

Najlepsze rozwiązanie

Rozwiązania

Podobne zadania

mania1408-k1 proszę o pomoc zadania na jutro. Przedmiot: Matematyka / Liceum 2 rozwiązania autor: mania1408-k1 13.4.2010 (16:43)
mania1408-k1 proszę o pomoc zadania na jutro. Przedmiot: Matematyka / Liceum 1 rozwiązanie autor: mania1408-k1 13.4.2010 (16:49)
rudapatrycja poziom rozszerzony-maturalne, kilka zadń z funkji Przedmiot: Matematyka / Liceum 1 rozwiązanie autor: rudapatrycja 18.4.2010 (11:31)
mania1408-k1 Pole i wycinek koła.pomocy ! zadania na jutro. Przedmiot: Matematyka / Liceum 1 rozwiązanie autor: mania1408-k1 20.4.2010 (15:12)
mania1992 proszę o pomoc!! (geometria płaska) zadania na wtorek. Przedmiot: Matematyka / Liceum 1 rozwiązanie autor: mania1992 24.4.2010 (13:10)

Podobne materiały

Przydatność 60% Zagadnienia maturalne - Arabowie.

1. Warunki naturalne i historyczne Półwyspu Arabskiego W starożytności był szczególna krainą. Większość jego powierzchni zajmowały pustynie i pół pustynne: rolnictwo mogło być uprawiane wzdłuż wybrzeży i na południu. Na półwyspie zamieszkiwały plemiona spokrewnione (semicka grupa językowa). Walczyły ze sobą o łupy (m.in. o dostęp do wody, pastwisk). Źródłem ich...

Przydatność 100% Zgadnienia maturalne 2005

ZAGADNIENIA MATURALNE 2005!!!! Całość w załączniku

Przydatność 60% Wymagania maturalne polski

Wszystko znajdziecie w załączniku ;) wystarczy znaleźć na internecie wymagania ;] miłego powtórzenia

Przydatność 75% Antyk i Biblia - zagadnienia maturalne.

1 Kulturotwórcza rola Biblii - Biblia jest źródłem myśli filozoficznej i religijnej, jest księgą mądrości - Prezentuje ludzkie wzory i postawy, które są chwalone lub krytykowane - Jest źródłem stylizacji językowej ( bogactwo literatury i sztuki - Zawiera kodeks moralny - Jest magazynem prawd o człowieku, o złożoności natury ludzkiej - Porządkuje sprawy życia i...

Przydatność 55% Bankowośc zadania

POSIADAM JESZCZE INNE MATERIAŁY Z BANKOWOŚCI I NIE TYLKO

0 odpowiada - 0 ogląda - 1 rozwiązań

Dodaj zadanie

Zobacz więcej opcji