Treść zadania
Autor: Dariusz29 Dodano: 14.3.2012 (09:51)
geometria analityczna
zad1)dane są punkty A=(-5,1) i B=(3,7) wyznacz:
a)długość odcinka /AB/
b)środek odcinka/AB/
c)równanie prostej w której zawiera się odcinek AB
d)równanie symetralnej odcinka AB
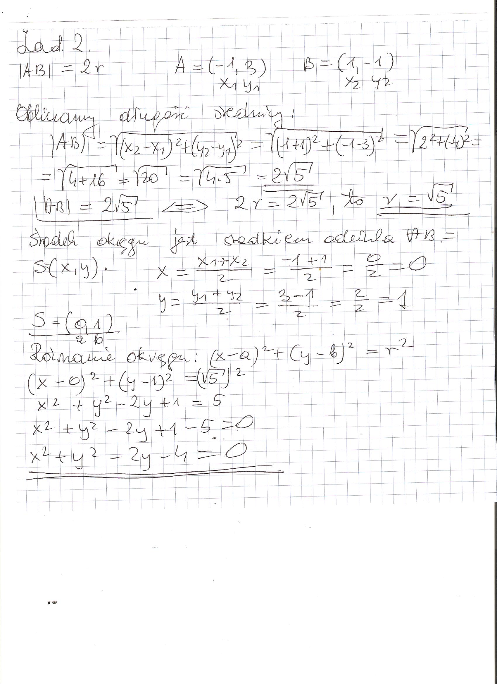
zad2)napisz równanie okręgu którego średnicą jest odcinek AB gdzie A=(-1,3) B=(1,-1)
Zadanie jest zamknięte. Autor zadania wybrał już najlepsze rozwiązanie lub straciło ono ważność.
Rozwiązania
Podobne zadania
|
|
2 rozwiązania | autor: agatka 29.3.2010 (09:25) |
|
|
2 rozwiązania | autor: sylwia14254 6.4.2010 (11:06) |
|
|
2 rozwiązania | autor: iwona5000 17.4.2010 (11:34) |
|
|
1 rozwiązanie | autor: aluszacedro 12.4.2010 (15:26) |
|
|
2 rozwiązania | autor: lukaszunkile 18.4.2010 (16:17) |
Podobne materiały
Przydatność 55% Geometria- definicje
Kąt –jest to obszar płaszczyzny ograniczony dwoma półprostymi o wspólnym początku wraz z tymi półprostymi. Kąty ostre, proste, rozwarte, półpromienne, pełne. Dwusieczna kąta to półprosta o początku w wierzchołku kąta, która dzieli ten kąt na dwa kąty o jednakowych miarach. Dwusieczne przecinają się w jednym punkcie- środek okręgu wpisanego w trójkąt. Prosta...
Przydatność 50% Geometria - matematyka
Praca znajduje się w załączniku.
Przydatność 65% Chemia analityczna - Zagadnienia na egzamin
1. Działanie rozcieńczonego i stężonego HNO3 na metaliczne srebro: 2HNO3st. + Ag AgNO3 + NO2 + H2O 4HNO3rozc. + 3Ag 3AgNO3 + NO + 2H2O 2. Działanie H2SO4 na roztwory anionów CH3COO-, SO32- i CO32-: 2CH3COONa + H2SO4 2CH3COOH + Na2SO4 2CH3COO- + 2H+ 2CH3COOH Na2SO3 + H2SO4 Na2SO4 + H2O + SO2 SO32- + 2H+ H2O + SO2 Na2CO3 + H2SO4 Na2SO4 + H2O...
Przydatność 50% Historia architektury, pismo techniczne, geometria wykreślna
CAŁOŚĆ PRACY W ZAŁĄCZNIKACH :)
Przydatność 70% Saint Simon - główne punkty jego myśli socjologicznej
1. Wpływ Wielkiej Rewolucji Francuskiej na myśl Saint-Simona Za punkt wyjścia do przedstawienia poglądów Saint-Simona przyjmuje się moment, w którym zdał on sobie sprawę, że rozwój społeczeństwa w okresie między Reformacją a Rewolucją Francuską i wojnami napoleońskimi doprowadził do rozkładu porządku feudalnego, ale na jego miejsce nie wniósł porządku równie...
0 odpowiada - 0 ogląda - 1 rozwiązań
0 0
rybitwa11 14.3.2012 (12:18)
rozw w zał
Załączniki
Dodawanie komentarzy zablokowane - Zgłoś nadużycie