Treść zadania
Autor: Sailor_Moon Dodano: 7.3.2012 (15:38)
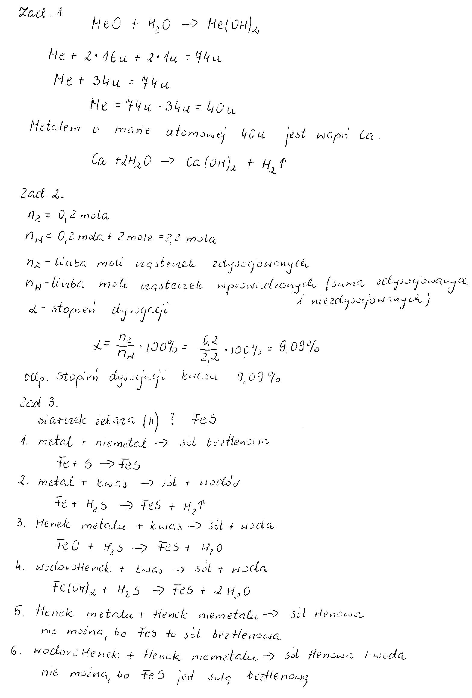
tlenek dwuwartościowego metalu reaguje z wodą,tworząc wodorotlenek o masie cząsteczkowej 74u. Jaki to metal? Ułóż równanie reakcji tego metalu z wodą .
Wodny roztwór slabego kwasu jednoprotonowego zawiera 0.2 mola jonów H+ i 2 mole niezdysocjowanych cząsteczek .Oblicz stopien dysocjacji tego kwasu ?
Podaj metody, którymi można utworzyć sole: siarczek żelaza i fosforan miedzi i wyjaśnij dlaczego. Niech ktoś mi wytłumaczy proszę jak można rozpoznać po solach jakimi metodami mogą być utworzone bo mam z tym duży problem.
Zadanie jest zamknięte. Autor zadania wybrał już najlepsze rozwiązanie lub straciło ono ważność.
Najlepsze rozwiązanie
Rozwiązania
Podobne zadania
|
|
1 rozwiązanie | autor: zania344 17.5.2010 (11:53) |
|
|
1 rozwiązanie | autor: Aphrael 7.11.2011 (21:48) |
|
|
1 rozwiązanie | autor: -inflorescentia19 21.11.2011 (09:25) |
|
|
1 rozwiązanie | autor: Artemis7 23.11.2011 (21:08) |
|
|
1 rozwiązanie | autor: Sailor_Moon 10.5.2012 (16:17) |
Podobne materiały
Przydatność 65% Wodorotlenek sodu i wodorotlenek wapnia
Wodorotlenek sodu (zasada sodowa) NaOH Równania reakcji: 2Na 2H2O->2NaOH H2^ Na2O H2O ->2NaOH Właściwości: ? Ciało stałe ? Barwa biała ? Higroskopijne(używane w laboratoriach w postaci granulek) ? Rozpuszcza się w wodzie, przy czym wydziela ciepło ? Właściwości żrące (niszczy bibułę i podobnie działa na skórę, a stopiony niszczy szkło i porcelanę) ?...
Przydatność 65% Tlenek węgla
Tlenek węgla CO nazwa zwyczajowa: czad nazwa systematyczna: tlenek węgla(II) Jest to nieorganiczny związek chemiczny. Ma silne własności toksyczne. W naturze występuje w gazach kopalnianych. Ma zastosowanie w wielu procesach przemysłowych. Właściwości: 1. Właściwości fizyczne: • w temperaturze pokojowej bezbarwny, bezwonny i niedrażniący gaz • trudno...
Przydatność 55% Masy powietrza.
Globalna cyrkulacja atmosfery powoduje powstawanie wokół Ziemi różnorodnych mas powietrza. Masą powietrza nazywamy wycinek troposfery charakteryzujący się dużą jednorodnością cech fizycznych, takich jak temperatura i wilgotność. Masa powietrza zalegająca dłuższy czas np. kilka dni nad danym obszarem nabiera cech tego obszaru. Przykładowo masa formująca się w...
Przydatność 70% Wodorotlenek sodu i jego zastosowanie
Wzór sumaryczny: NAOH Wzór strukturalny: Na-O-H Wodorotlenki otrzymuje się głównie dwiema metodami: 1. W reakcji metalu z wodą (głównie wodorotlenek sodu i potasu) np.: 2Na + H2O → 2NaOH + H2 2. W reakcji tlenku metalu z wodą np.: Na2O + H2O → 2NaOH Wodorotlenek sodu: Soda żrąca, soda kaustyczna - biała krystaliczna masa o temperaturze...
Przydatność 65% Masy powietrza-ściąga
Powietrze Arktyczne-napływa do naszego kraju najczęściej wiosną.Powoduje wówczas przymrozki i majowe ohłodzenia.Zimą przynosi silne mrozy i obfite opady śniegu. Jest to powietrze przejrzyste, na ogół pozbawione zanieczyszczeń Powietrze Polarne Kontynentalne-dociera nad Polskę głównie zimą.Będąc wówczas mroźne i suche,przynosi słoneczną pogodę.Gdy napływa latem,jest...
0 odpowiada - 0 ogląda - 1 rozwiązań
1 0
ewka13 14.3.2012 (22:19)
Rozwiązania w załączniku :
W zad 3 nie jest określona wartościowość żelaza i miedzi.
Załączniki
Dodawanie komentarzy zablokowane - Zgłoś nadużycie