Treść zadania
Autor: Sailor_Moon Dodano: 7.3.2012 (15:14)
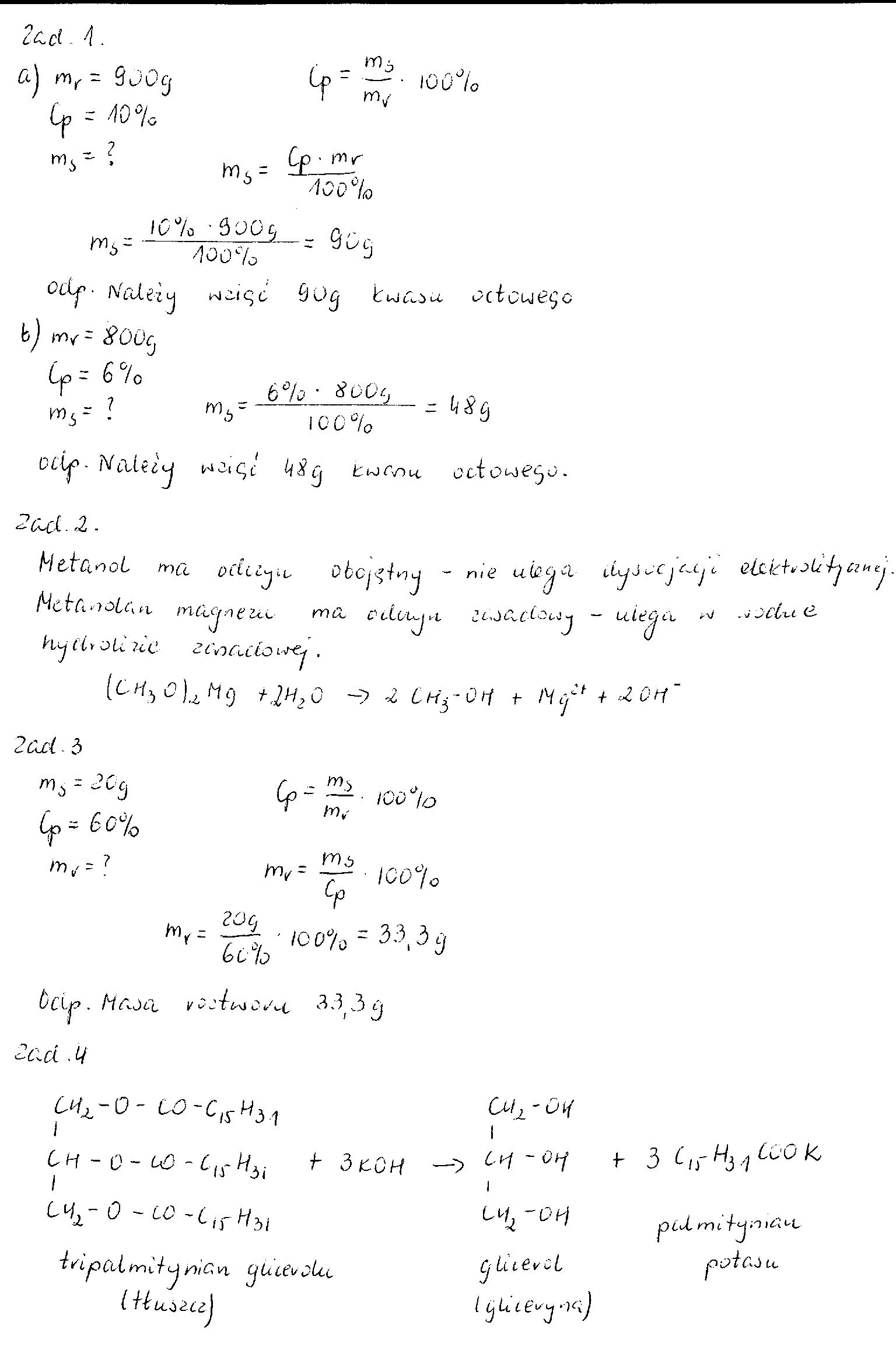
a)Ile gramów kwasu octowego należy wziąć, aby sporządzić 900g 10% octu (roztworu)?
b) Ile gramów kwasu octowego należy wziąć, aby sporządzić 800g 6% octu (roztworu)?
Jaki odczyn roztworu posiada metanol, a jaki metanolan magnezu. Odpowiedz uzasadnij odpowiednimi reakcjami.
20 gramów substancji rozpuszczono i otrzymano roztwór 60%. Oblicz masę jego roztworu
Napisz równanie reakcji otrzymywania palmitynianu potasu z odpowiedniego tłuszczu.
Zadanie jest zamknięte. Autor zadania wybrał już najlepsze rozwiązanie lub straciło ono ważność.
Najlepsze rozwiązanie
Rozwiązania
Podobne zadania
|
|
1 rozwiązanie | autor: zania344 15.5.2010 (13:14) |
|
|
1 rozwiązanie | autor: kasiatorzawa 2.10.2010 (14:43) |
|
|
1 rozwiązanie | autor: 1wertyui 14.10.2010 (12:40) |
|
|
2 rozwiązania | autor: karolina69 2.11.2010 (10:13) |
|
|
1 rozwiązanie | autor: anusiax91 6.11.2010 (15:15) |
Podobne materiały
Przydatność 85% Oblicz masę cząsteczkową kwasu siarkowodorowego.
Wzór kwasu siarkowodorowego jest taki: H2S więc trzeba pomnożyć dwa razy masę atomową wodory i dodać masę siarki 2*1u+ 32u = 2u + 32u = 34u Odp. Masa cząsteczkowa H2S wynosi 34u.
Przydatność 60% Oznaczanie kwasu i zasady metodą miareczkowania alkacymetrycznego
Metody alkacymetrycznego miareczkowania stosowane są powszechnie do oznaczania kwasów i zasad. Metody te cechuje szybkość i prostota wykonania. Analiza miareczkowa polega na ilościowym oznaczeniu danej substancji za pomocą odczynnika dodawanego w postaci roztworu mianowanego, tzn. roztworu o dokładnie znanym stężeniu, mol/dm3. Roztwór mianowany niewielkimi porcjami dozuje się z...
Przydatność 85% Kwas nikotynowy i Amid kwasu nikotynowego
Działania farmakologiczne : - przeciwmiażdżycowe; - żółciotwórcze; - żółciopędne; - obniżające ciśnienie krwi; pobudzające wydzielanie soku żołądkowego; - nasilające perystaltykę przewodu pokarmowego; - poprawiające ukrwienie skóry, mózgu i obwodowe; - hamuje wydalanie kwasu moczowego; - kwas nikotynowy rozszerza naczynia krwionośne skóry, serca, mózgu; -...
Przydatność 70% Fizjologiczna rola auksyn, giberelin, cytokinin, etylenu,ABA, kwasu jasmonowego, związków fenolowych
Auksyny pobudzają wzrost całej rośliny i tworzenie korzeni. Przyspieszanie wzrostu korzeni, pączków i łodyg następuje przy różnych stężeniach auksyn, przekroczenie określonych stężeń hamuje ich wzrost. Uschnięcie głównego wierzchołka wzrostu pędu przyspiesza rozwój pędów bocznych, powodując rozkrzewianie. Podobnie dzieje się w przypadku stożka wzrostu korzenia...
0 odpowiada - 0 ogląda - 1 rozwiązań
2 0
ewka13 9.3.2012 (00:07)
Rozwiązanie w załaczniku...
Załączniki
Dodawanie komentarzy zablokowane - Zgłoś nadużycie