Treść zadania
Autor: Sailor_Moon Dodano: 7.3.2012 (14:39)
Napisz po 5 równań otrzymywania dla każdej soli:
- azotan (V) glinu
- siarczan (VI) potasu
- fosforan (V) wapnia
- chlorek sodu
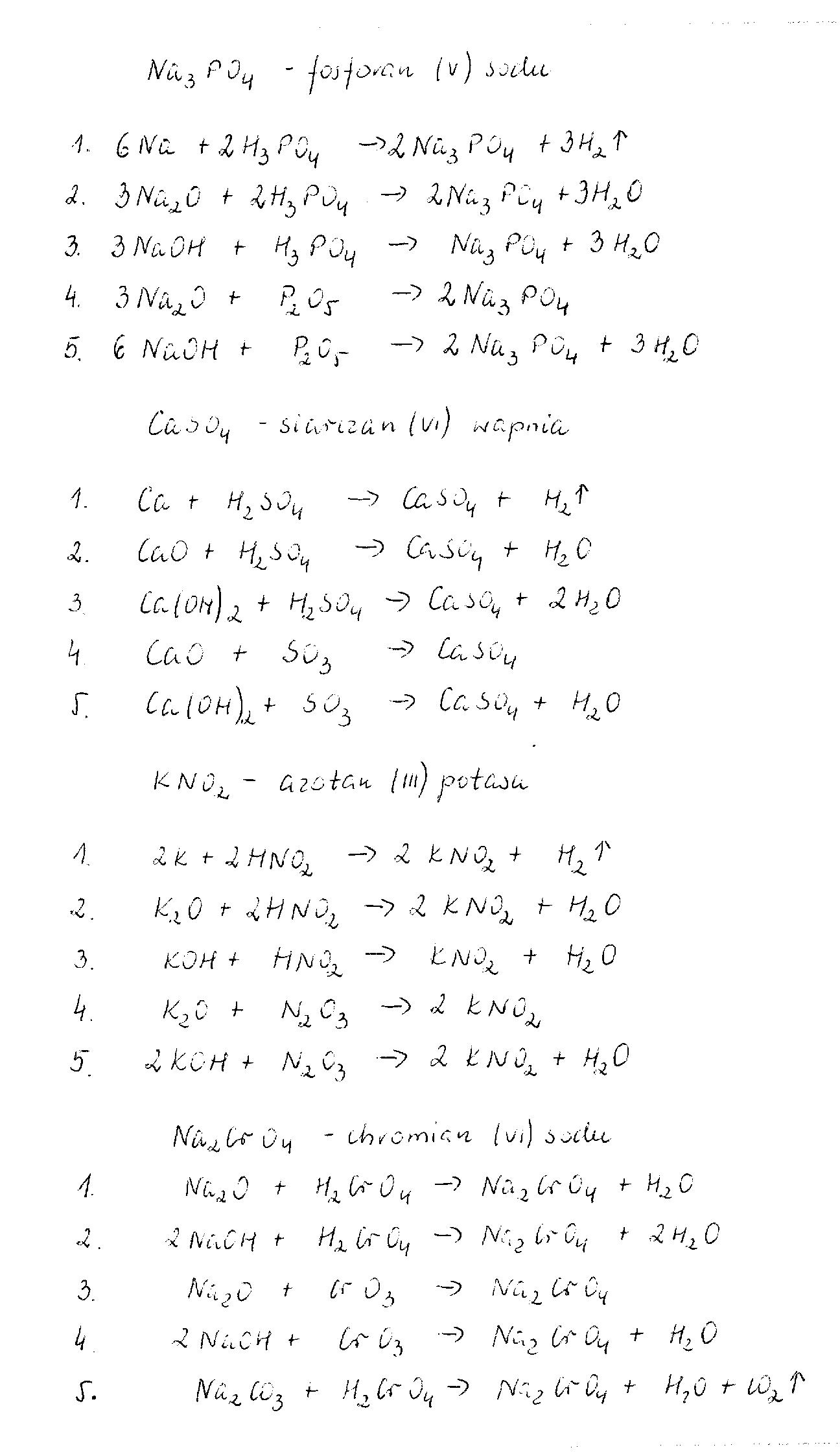
- fosforan (v) sodu
- siarczan (VI) wapnia
- azotan (III) potasu
- chromian (VI) sodu
Zadanie jest zamknięte. Autor zadania wybrał już najlepsze rozwiązanie lub straciło ono ważność.
Najlepsze rozwiązanie
Rozwiązania
Podobne zadania
|
|
1 rozwiązanie | autor: zania344 17.5.2010 (11:33) |
|
|
1 rozwiązanie | autor: paula24 9.6.2010 (14:33) |
|
|
1 rozwiązanie | autor: antania1991 12.11.2010 (16:47) |
|
|
1 rozwiązanie | autor: antania1991 13.11.2010 (09:03) |
|
|
1 rozwiązanie | autor: antania1991 13.11.2010 (09:07) |
Podobne materiały
Przydatność 65% 9 metod otrzymywania soli.
1) MEtal + kwas----> Sol + Wodor 2) Tlenk metalu + Kwas----> Sol + Woda 3) Kwas + Wodorotlenek----> Sol + woda 4) Metal + niemetal---> Sol kwasu beztlenowego 5) tlenek metalu + bezwonnik kwasowy--->sol 6) Zasada(wodorotlenek) +bezwonnik kwasowy---> sol + woda 7) Sol 1 + sol 2 --->sol 3 + sol 4 8) Sol 1 + kwas 1 --->sol 2 + kwas 2 9) wodorotlenek 1 + sol 2 ---> wodorotlenek 2 + sol 2
Przydatność 80% Metody otrzymywania soli
1. METAL + NIEMETAL ----> SÓL BEZTLENOWA (sól kwasu beztlenowego) Jest najprostrzy sposób otrzymywania soli beztlenowych. Nalezy jednak pamietac, iz nie wszystkie metale przereaguja w powyzszej reakcji. Chodzi tu glównie o metale szlachetne jak: Au (zloto), Ag (srebro), Cu (miedz). PRZYKLADY (najpierw czasteczkowo, a pózniej jonowo i jonowo w sposób skrócony): a) 2 Na + Cl2 ----> 2...
Przydatność 75% 9 sposobów otrzymywania soli
Otrzymywanie soli: Reakcja zobojętniania : KWAS + ZASADA--->SÓL + WODA Reakcja tlenków metali z kwasami : TLENEK METALU + KWAS--->SÓL + WODA Reakcja metali z kwasami : METAL + KWAS--->SÓL + WODÓR 4. TLENEK KWASOWY + ZASADA--->SÓL + WODA 5. TLENEK METALU + TLENEK KWASOWY--->SÓL 6. METAL + NIEMETAL--->SÓL KWASU BEZTLENOWEGO 7. SÓL...
Przydatność 60% 10 metod otrzymywania soli
Kwas+zasada->sól+woda Metal(aktywny)+kwas->sól+H Tl.metalu+kwas->sól+woda Tl.metalu+tl.niemetalu->sól(tlenowa) Zasada+tl.niemetalu->sól(tlenowa)+woda Metal+niemetal->sól(beztlenowa) Sól1+sól2->sól3+sól4 Sól1+kwas->sól(mocna)+kwas Sól1+zasada->sól2+wodorotlenek Sól1+metal(aktywny)->sól2+metal(mniej aktywny)
Przydatność 55% Metody otrzymywania soli
METODY OTRZYMYWANIA SOLI 1. metal kwas --> sól wodór Mg H2S --> MgS H2 2. tlenek metalu kwas --> sól woda Li2O 2H Cl --> 2LiCl H2O 3. zasada (wodorotlenek) kwas --> sól woda reakcja zobojętniania 3Mg(OH)2 2H3 PO4 --> Mg3(PO4)2 6H2O 4. sól1 sól 2 --> sól3 sól4 2NaNO3 MgS -->...
0 odpowiada - 0 ogląda - 1 rozwiązań
2 0
ewka13 8.3.2012 (23:37)
Rozwiązanie w załączniku...
Załączniki
Dodawanie komentarzy zablokowane - Zgłoś nadużycie