Treść zadania
Autor: budzik Dodano: 15.2.2012 (16:51)
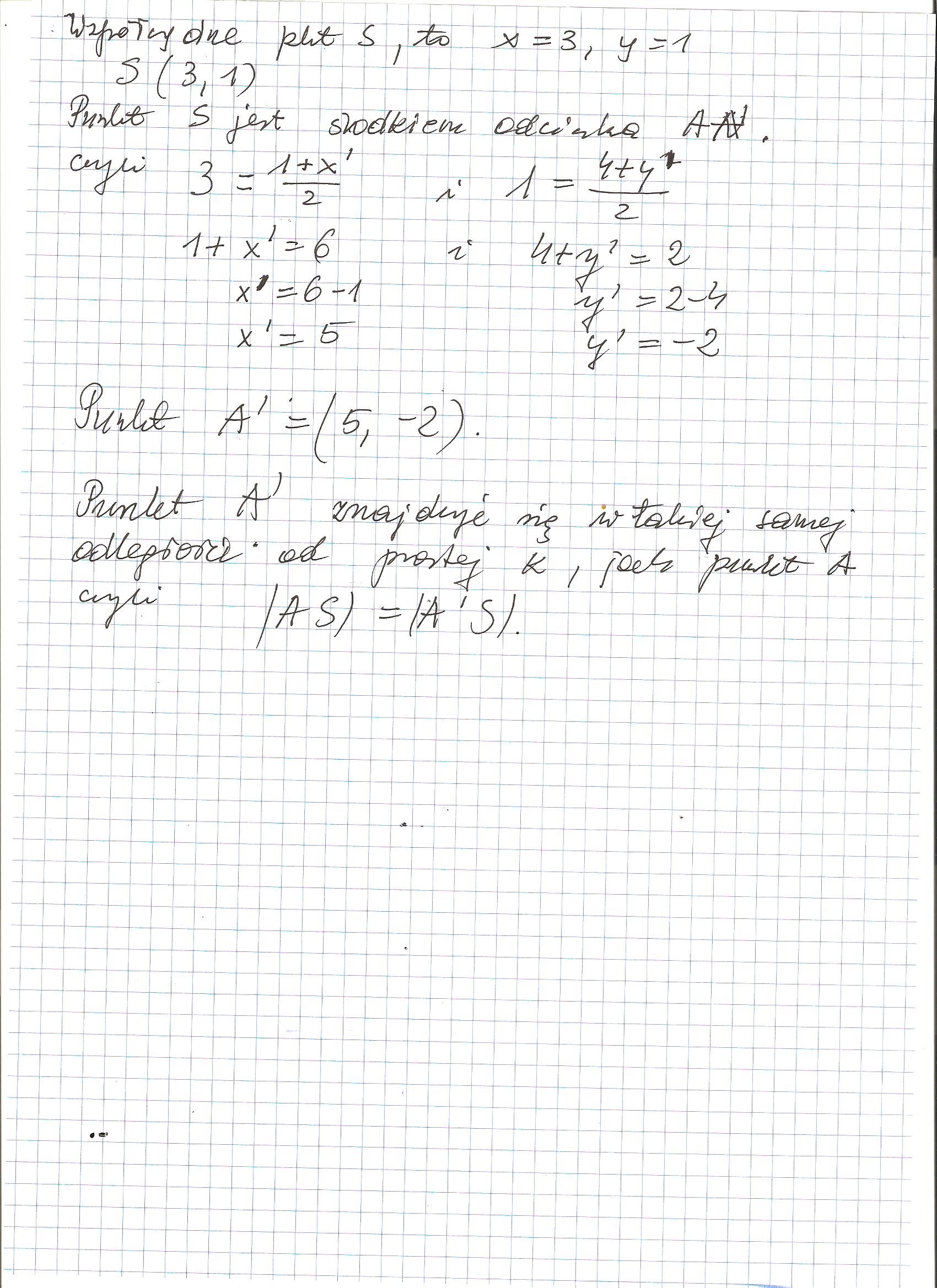
Punkt A(prim) jest obrazem punktu A(1,4) w symetrii osiowej wzgledem prostej k o równaniu k:2x-3y-3=0. Wyznacz współrzedne punktu A(prim)
Zadanie jest zamknięte. Autor zadania wybrał już najlepsze rozwiązanie lub straciło ono ważność.
Najlepsze rozwiązanie
Rozwiązania
Podobne zadania
|
|
1 rozwiązanie | autor: pawel 24.3.2010 (16:28) |
|
|
2 rozwiązania | autor: MartaGrzeszczak1 29.3.2010 (17:43) |
|
|
1 rozwiązanie | autor: lusi1069 30.3.2010 (16:42) |
|
|
1 rozwiązanie | autor: gosiaczek90 7.4.2010 (19:15) |
|
|
2 rozwiązania | autor: rafaljanek 8.4.2010 (19:03) |
Podobne materiały
Przydatność 60% "Punkt widzenia zależy od punktu siedzenia".
W pełni zgadzam się z założonym twierdzeniem, iż „punkt widzenia zależy od punktu siedzenia”. Uważam, że stanowisko, czy pozycja w jakiej się znajdujemy nie jest bez znaczenia dla naszych poglądów, lub decyzji. Ludzie zachowujący się dwulicowo uznawani są przez większość społeczeństwa za istny margines społeczny, który potocznie trzeba „tępić”. Z pewnością nie...
Przydatność 50% Badanie symetrii składnika resztowego
w załączniku
Przydatność 75% Alzheimer - genetyczny punkt widzenia.
Skrycie atakująca choroba Alzheimera powoduje nieustanne pogarszanie się pamięci i utratę kontroli nad podstawowymi funkcjami organizmu. W większości cierpią na nią osoby po siedemdziesiątce, ci zaś, którzy dożywają jej końcowych stadiów, w miarę powolnego zaniku czynności mózgu tracą zdolność mówienia, chodzenia, a nawet unoszenia głowy. Choroba daje o sobie znać...
Przydatność 60% Szkarłupnie - zwierzęta o promienistej symetrii ciała.
Szkarłupnie - zwierzęta o promienistej symetrii ciała. Boczna linia rozwoju wtóroustych, żyjącąca w morzach o płnym zasoleniu, związane z dnem morskim. A) Filogeneza szkarłupni: - przodkowie: robakokształtne zwierzęta mając wtórną jamę ciała (celomę), podzieloną na segmenty. Przeszły one póżniej do osiadłego trybu życia, tracąc dwuboczną symetrię. - do...
Przydatność 85% Coming out - wszystko o homoseksualizmie w prostej wersji.
‘’COMING OUT’’ Czy orientacja seksualna naprawdę jest nie do zmiany? Orientacja seksualna oznacza preferowaną płeć partnera seksualnego. Jest to program wpisany w ośrodkowy układ nerwowy. Póki co, nie ma żadnych metod, żeby ten program zmienić. Człowiek rodzi się albo heteroseksualny, albo homoseksualny, albo...
0 odpowiada - 0 ogląda - 1 rozwiązań
1 0
rybitwa11 15.2.2012 (17:37)
rozw w załącznikach
Załączniki
Dodawanie komentarzy zablokowane - Zgłoś nadużycie