Treść zadania
Autor: zidannn Dodano: 9.2.2012 (15:01)
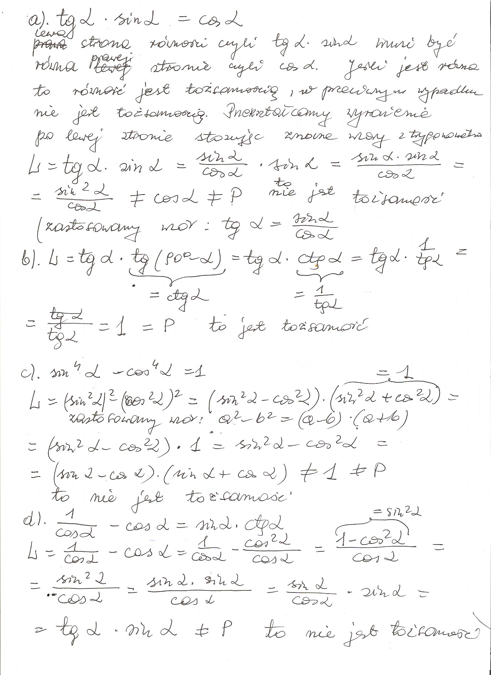
1.Tozsamoscia (dla kata alfa) jest:
a)tg alfa*sin alfa=cos alfa
b)tg alfa *tg(90stopni - alfa)=1
c)sinus^^alfa-cos^^alfa=1
d)1/cos alfa - cos alfa=sin alfa*ctgalfa
Prosze o wytłumaczenie jak to zrobiles
^^-do potegi 4
Zadanie jest zamknięte. Autor zadania wybrał już najlepsze rozwiązanie lub straciło ono ważność.
Najlepsze rozwiązanie
Rozwiązania
Podobne zadania
|
|
1 rozwiązanie | autor: urwisek4 28.3.2010 (23:44) |
|
|
2 rozwiązania | autor: katarzynak201989 27.4.2010 (14:37) |
|
|
2 rozwiązania | autor: kasik20 19.6.2010 (13:06) |
|
|
1 rozwiązanie | autor: maaaniek 5.10.2010 (18:49) |
|
|
1 rozwiązanie | autor: madzia0904 9.10.2010 (18:33) |
Podobne materiały
Przydatność 75% Alfa Centauri
Gwiazdozbiór Krzyża Południa (Crux) jest najbardziej charakterystycznym gwiazdozbiorem półkuli południowej. Na wschód od Krzyża Południa znajdujemy dwie jasne gwiazdy Alfa Centauri i Beta Centauri (Hadar) w Centaurze (Centaurus). Jest on rozległym gwiazdozbiorem nieba pdołudniowego. Alfa Centauri jest układem potrójnym gwiazd obiegających wspólny środek masy. W jego skład...
Przydatność 60% Promieniowanie alfa,beta,gamma
Promieniowanie alfa to rodzaj promieniowania jonizującego cechującego się małą przenikalnością. Promieniowanie alfa to strumień cząstek alfa. Cząstka alfa (helion) składa się z dwóch protonów i dwóch neutronów. Ma ładunek dodatni i jest identyczna z jądrem atomu izotopu 4He, więc często oznacza się ją jako He2+. Nazwa pochodzi od greckiej litery α. Cząsteczki alfa są...
Przydatność 60% Adrenolityki cz.1 L(alfa)
- L - adrenolityki - B - adrenolityki - leki sympatykolityczne, czyli hamujące czynność presympatycznych neuronów adrenergicznych. Leki te zmniejszają biosyntezę, magazynowanie i uwalnianie neuroprzekaźników (noradrenaliny) z zakończeń adrenergicznych. * L (alfa) - adrenolityki * Zmniejszają opór obwodowy, powodując zmniejszenie ciśnienia krwi. Nie stosuje się ich w...
Przydatność 60% Promieniowanie alfa beta gamma i jego wpływ na organizm człowieka
Badaniem skutków promieniowania jonizującego zajmuje się nauka zwana radiologią. Działanie biologiczne promieniowania jonizującego następuje w wyniku przeniesienia energii promieniowania do poszczególnych cząsteczek, z których składa się żywa komórka. Pierwotny skutek promieniowania występuje w komórce, chociaż zależnie od dawki promieniowania i liczby uszkodzonych komórek...
Przydatność 50% Powstanie w getcie warszawskim z perspektywy kata i ofiary.
Szanowna Komisjo! Tematem mojej wypowiedzi jest powstanie w getcie warszawskim z perspektywy kata i ofiary. Wybrałam temat ten, ponieważ interesuję się historią II Wojny Światowej oraz historią dyskryminowanych w tym okresie narodów żydowskiego jak i polskiego. Na początku mojej wypowiedzi opowiem o historii tego powstania oraz ogólnie przybliżę jego pojęcie powstania....
0 odpowiada - 0 ogląda - 1 rozwiązań
3 0
rybitwa11 9.2.2012 (16:07)
rozwiązanie w załączniku
Załączniki
Dodawanie komentarzy zablokowane - Zgłoś nadużycie