Treść zadania
Autor: Timer Dodano: 20.1.2012 (17:28)
Witam, podejmie się ktoś tego zadania ? Wiem, jest długie ale może komuś się nudzi a jest dobry z matmy :)
Zależy mi.
Zdjęcie :
Zadanie jest zamknięte. Autor zadania wybrał już najlepsze rozwiązanie lub straciło ono ważność.
Najlepsze rozwiązanie
Rozwiązania
Podobne zadania
|
|
1 rozwiązanie | autor: pawel 24.3.2010 (16:28) |
|
|
2 rozwiązania | autor: MartaGrzeszczak1 29.3.2010 (17:43) |
|
|
1 rozwiązanie | autor: lusi1069 30.3.2010 (16:42) |
|
|
1 rozwiązanie | autor: gosiaczek90 7.4.2010 (19:15) |
|
|
1 rozwiązanie | autor: aluszacedro 12.4.2010 (15:17) |
Podobne materiały
Przydatność 80% Czy wiem co jem?
CZY WIEM CO JEM? MLODZIEŻ I ZDROWA ŻYWNOŚĆ Od pewnego czasu człowiek współczesny coraz intensywniej szuka ochrony przed szkodliwym wpływem stworzonej przez siebie cywilizacji. Pragnie pozbyć się całego balastu zanieczyszczeń zagrażających jego zdrowiu i życiu. Dużo więcej uwagi poświęca temu co spożywa. Jest zrozumiałe, że ta ogólna tendencja nie ujawnia się z...
Przydatność 60% Analiza wiersza "Nie wiem".
„Nie wiem” Kiedyś myślałam że życie jest piękne. Kiedyś myślałam że muszę tak myśleć Kiedyś myślałam że jestem szczęśliwa że jest mi dobrze. Kiedyś ... Ale teraz zrozumiałam że nie muszę być szczęśliwa Jeśli nie chce. Nie wiem co mam myśleć. Nie wiem co mam czuć Nie wiem co...
Przydatność 70% Co wiem o filozofii?
Jest to bardzo trudne pytanie, na które brak jest jednoznacznej odpowiedzi. Sam termin stanowił i dalej stanowi zagwozdkę dla wielu myślicieli. Pytanie to jest samo w sobie bardzo filozoficzne. Udzielając odpowiedzi zaczerpniętej ze słownika, że filozofia jest to nauka o świecie otaczającym nas, myślę że, nie wyczerpujemy w pełni pojęcia tego słowa. Filozofia, którą...
Przydatność 70% Co wiem o Marlin Monroe
Name: Marilyn Monroe Nationality: American Work: Actress Dates: 1926-1962 Achievements: played tragedy movies, musical movies and comedy Key events: 1926: she was born; 1947: she started her career in movies; 1962: she died; Marilyn Monroe was born in 1926. Her real name was Norma Jane Baker or Mortenson. She was American move actress. Her childhood was very difficult. She lived in...
Przydatność 60% Co wiem o Kościele katolickim?
Pisząc o Koście katolickim pierwszym pytaniem które należy sobie zadać jest :co to jest Kościół katolicki? Odpowiedź jest wbrew pozorom bardzo prosta. Kościół ten to zjednoczenie chrześcijan ,którzy pod zwierzchnictwem Papieża dążą do zbawienia przez wyznawanie wiary i przyjmowanie sakramentów. Jest to również Lud Boży wybrany prze Boga, którego zadaniem jest uczyć o...
0 odpowiada - 0 ogląda - 1 rozwiązań
1 0
rybitwa11 21.1.2012 (14:53)
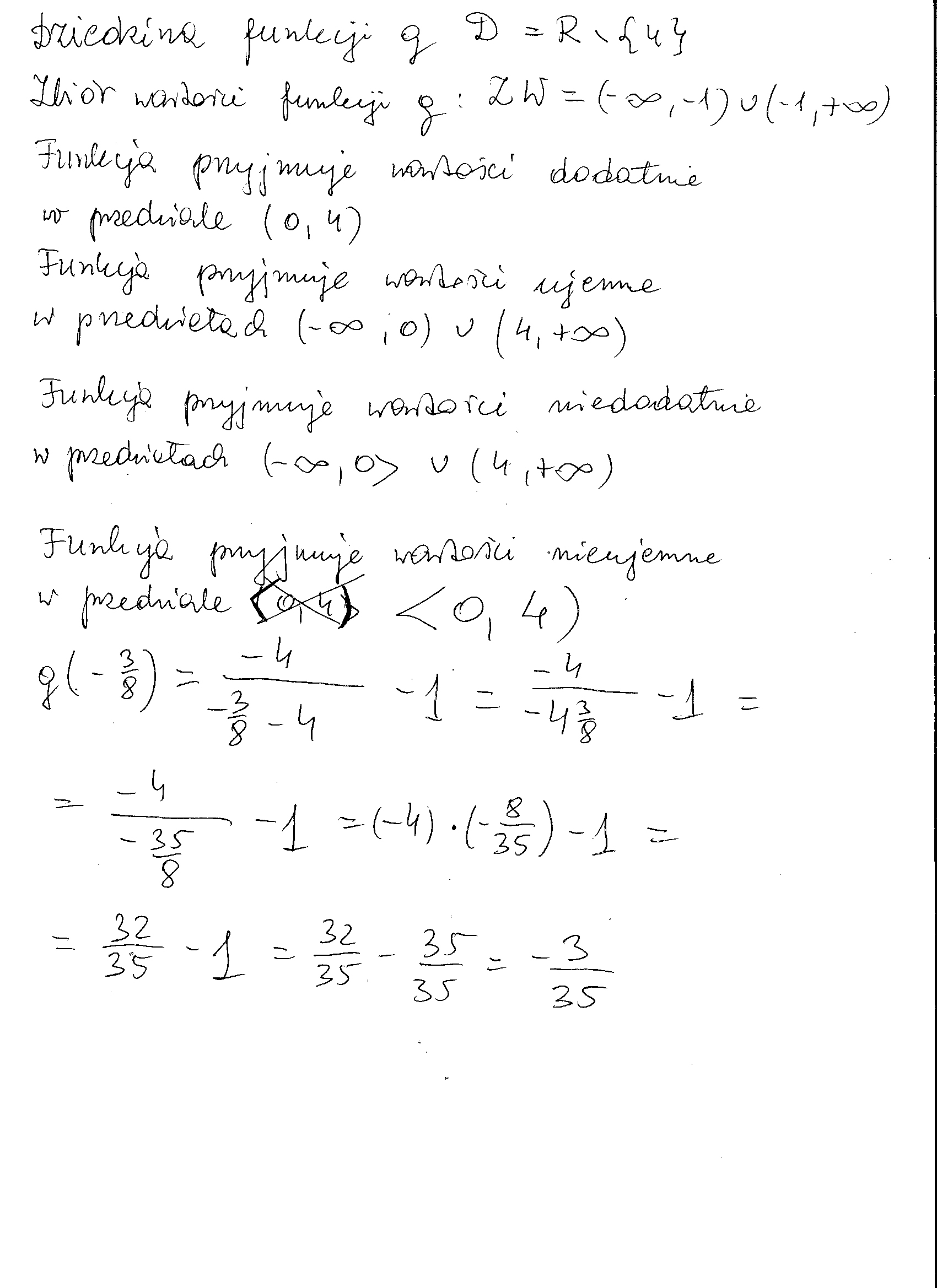
wykres w załączniku
Załączniki
Dodawanie komentarzy zablokowane - Zgłoś nadużycie