Treść zadania
Autor: Mateox197 Dodano: 19.1.2012 (22:21)
b) 2x+2y+40
x+4+y-5
To inny przykład PLEASEEE
Zadanie jest zamknięte. Autor zadania wybrał już najlepsze rozwiązanie lub straciło ono ważność.
Najlepsze rozwiązanie
Rozwiązania
Podobne zadania
|
|
2 rozwiązania | autor: OnlyYourDamianQ 20.5.2010 (17:55) |
|
|
2 rozwiązania | autor: sheanee95 23.11.2010 (17:10) |
|
|
3 rozwiązania | autor: kamilka122 31.12.2012 (16:10) |
|
|
1 rozwiązanie | autor: ~Dominika 24.6.2014 (19:10) |
0 odpowiada - 0 ogląda - 1 rozwiązań
1 0
rybitwa11 19.1.2012 (23:42)
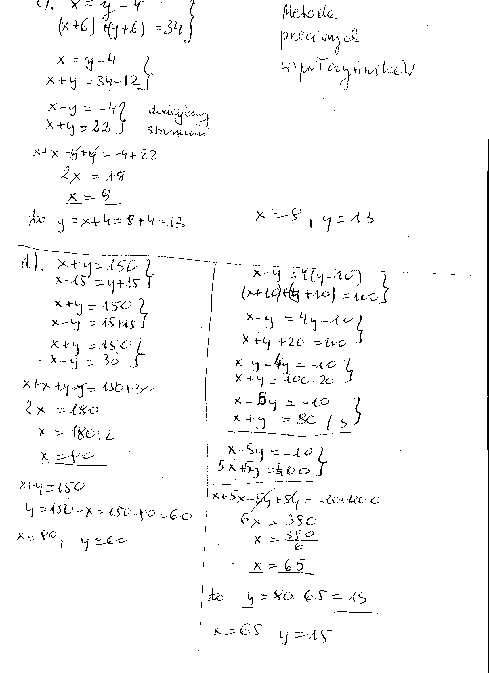
Wysyłam poprzednie zadania zrobione metoda przeciwnych wspólczynników gdyż w rozwiazaniach wkradły sie błędy, zignoruj je
Załączniki
Dodawanie komentarzy zablokowane - Zgłoś nadużycie