Treść zadania
Autor: Julka17 Dodano: 12.12.2011 (17:09)
Wyznacz sumę wielomianów W(x) i U(x) jeśli :
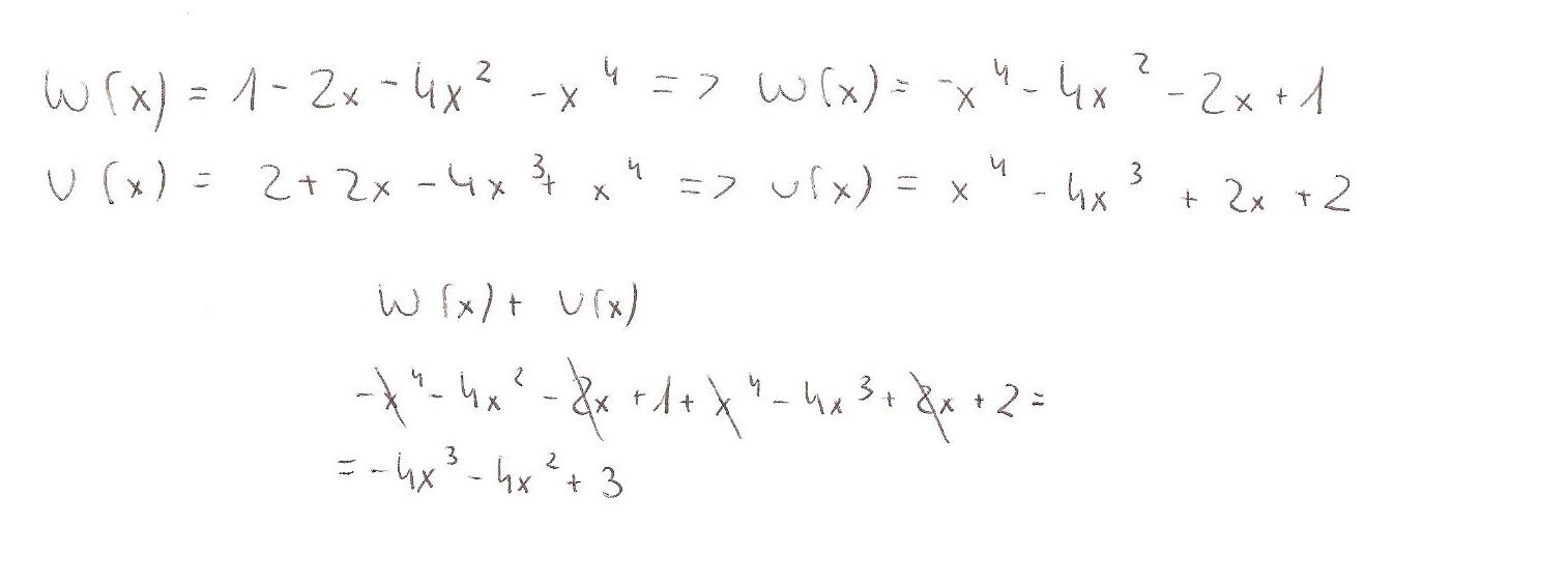
b) W(x) =1-2x-4x^2 -x^4 , U(x)= 2+2x-4x^3+x^4
Zadanie jest zamknięte. Autor zadania wybrał już najlepsze rozwiązanie lub straciło ono ważność.
Najlepsze rozwiązanie
Rozwiązania
Podobne zadania
|
|
2 rozwiązania | autor: MartaGrzeszczak1 29.3.2010 (17:43) |
|
|
2 rozwiązania | autor: nikola29 15.4.2010 (19:01) |
|
|
1 rozwiązanie | autor: lukaszunkile 18.4.2010 (16:16) |
|
|
1 rozwiązanie | autor: krystian2409 26.4.2010 (15:43) |
|
|
1 rozwiązanie | autor: marcysia 19.5.2010 (10:45) |
Podobne materiały
Przydatność 65% List, w którym wyznacze cele na nowy rok szkolny.
Przysietnica 02.09.2009 Angeliko! Pierwszego września rozpoczęłam nowy rok szkolny. Pamiętam, że jest to dzień szczególny, także z powodu siedemdziesiątej rocznicy wybuchu II Wojny Światowej. Wiem, że wtedy wiele dzieci ie mogło...
0 odpowiada - 0 ogląda - 1 rozwiązań
1 0
woka 12.12.2011 (17:26)
rozwiązanie w załączniku.
Załączniki
Dodawanie komentarzy zablokowane - Zgłoś nadużycie