Treść zadania

ja512

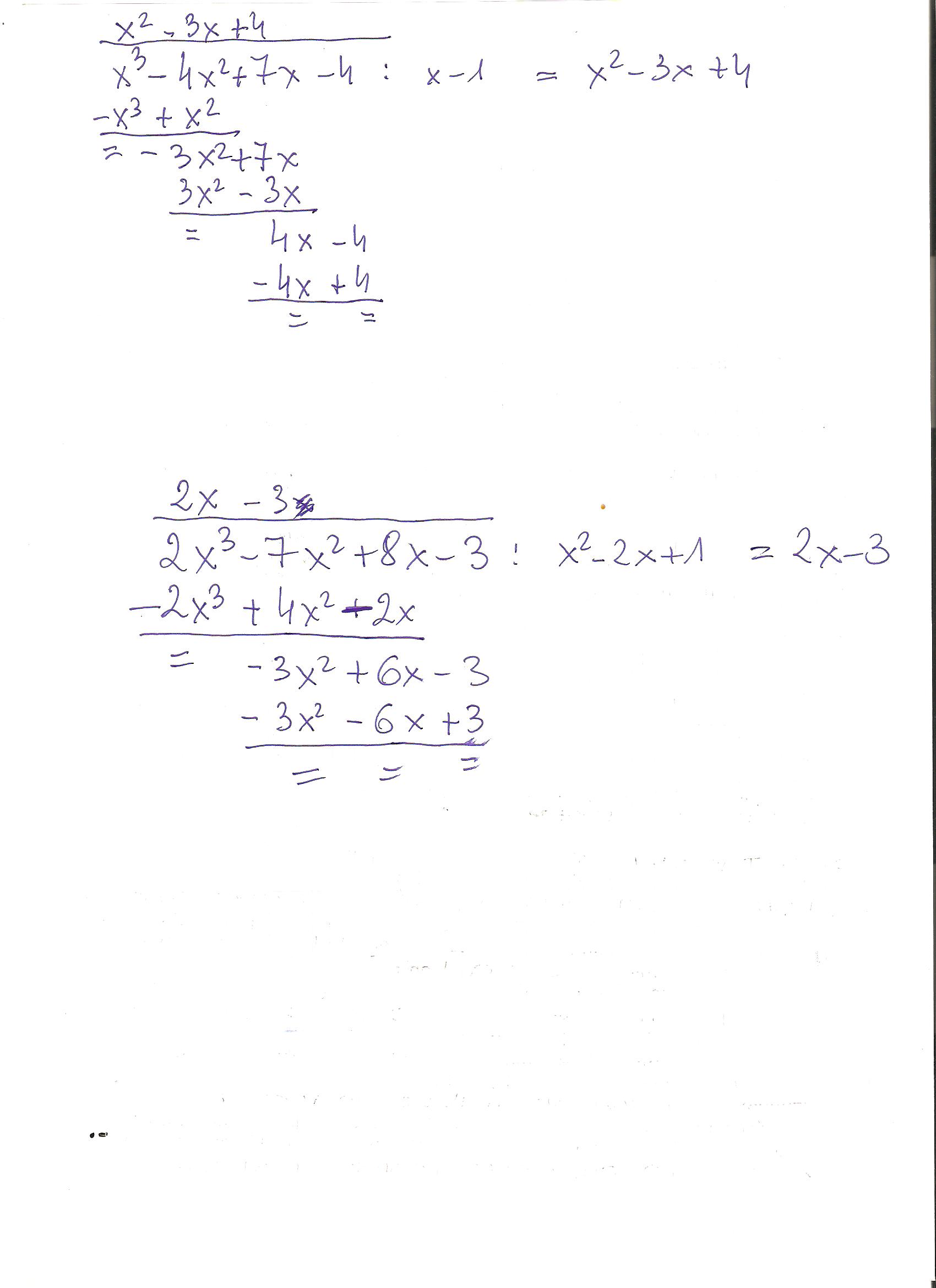
podziel wielomiany 1. (x3-4x2+7x-4) : (x-1)
2. (2x3-7x2+8x-3) : (x2-2x+1)

Zadanie jest zamknięte. Autor zadania wybrał już najlepsze rozwiązanie lub straciło ono ważność.

Najlepsze rozwiązanie

Rozwiązania

Podobne zadania

angelika1990 1)Dane są wielomiany Oblicz W(x)=x³-2x+1 W(x)+Q(x) Q(x)=-x³+3x Przedmiot: Matematyka / Liceum 1 rozwiązanie autor: angelika1990 8.4.2010 (18:05)
lestat919 wielomiany Przedmiot: Matematyka / Liceum 1 rozwiązanie autor: lestat919 8.4.2010 (19:10)
MrAnulka wielomiany-na jutro - proszę pomóżcie Przedmiot: Matematyka / Liceum 3 rozwiązania autor: MrAnulka 18.4.2010 (19:39)
onaaa19 Wielomiany Przedmiot: Matematyka / Liceum 1 rozwiązanie autor: onaaa19 24.4.2010 (20:17)
Poprawkowicz Kilka pytań (wielomiany). Przedmiot: Matematyka / Liceum 4 rozwiązania autor: Poprawkowicz 4.7.2010 (13:58)

Podobne materiały

Przydatność 55% Podziel się swoimi refleksjami po lekturze utworu Szymborskiej "Nic dwa razy się nie zdarza".

Wiersz Wisławy Szymborskiej ukazuje nam obraz miłości, o którą trzeba dbać, pielęgnować ją, ponieważ los może nie dać nam drugiej szansy do pokochania innego człowieka. Autorka mówi również, że każda miłość słabnie, a czasem nawet przemija. Właśnie dlatego powinniśmy cieszyć się każdym "dotykającym" nas uczuciem, każdą chwilą, która daje radość oraz każdym...

0 odpowiada - 0 ogląda - 1 rozwiązań

Dodaj zadanie

Zobacz więcej opcji