Treść zadania
Autor: ~gabi Dodano: 6.12.2011 (18:21)
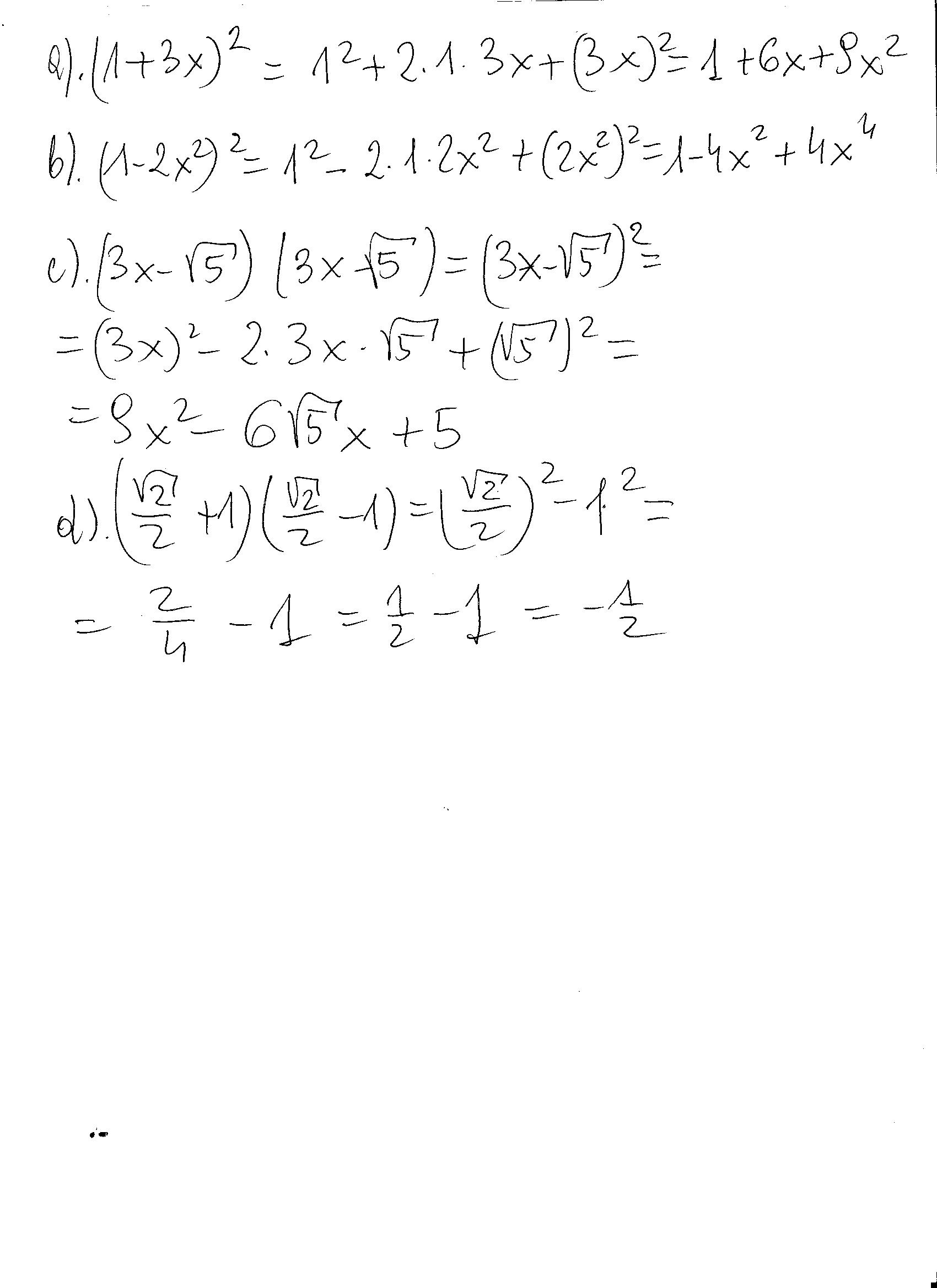
wyznacz iloczyn korzystając ze wzorów skróconego mnożenia
a) (1+3x)^2
b) (1-2x^2)^2
c) (3x-pierwiastek z 5)(3x-pierwiastek z 5)
c) (√2przez2 + 1) (√2przez2 - 1)
Zadanie jest zamknięte. Autor zadania wybrał już najlepsze rozwiązanie lub straciło ono ważność.
Najlepsze rozwiązanie
Rozwiązania
Podobne zadania
|
|
2 rozwiązania | autor: MartaGrzeszczak1 29.3.2010 (17:43) |
|
|
2 rozwiązania | autor: nikola29 15.4.2010 (19:01) |
|
|
1 rozwiązanie | autor: lukaszunkile 18.4.2010 (16:16) |
|
|
1 rozwiązanie | autor: krystian2409 26.4.2010 (15:43) |
|
|
1 rozwiązanie | autor: marcysia 19.5.2010 (10:45) |
Podobne materiały
Przydatność 65% List, w którym wyznacze cele na nowy rok szkolny.
Przysietnica 02.09.2009 Angeliko! Pierwszego września rozpoczęłam nowy rok szkolny. Pamiętam, że jest to dzień szczególny, także z powodu siedemdziesiątej rocznicy wybuchu II Wojny Światowej. Wiem, że wtedy wiele dzieci ie mogło...
0 odpowiada - 0 ogląda - 1 rozwiązań
2 0
rybitwa11 6.12.2011 (19:01)
rozw w zał
Załączniki
Dodawanie komentarzy zablokowane - Zgłoś nadużycie