Treść zadania

julkins

prosze pomóżcie mi.!!

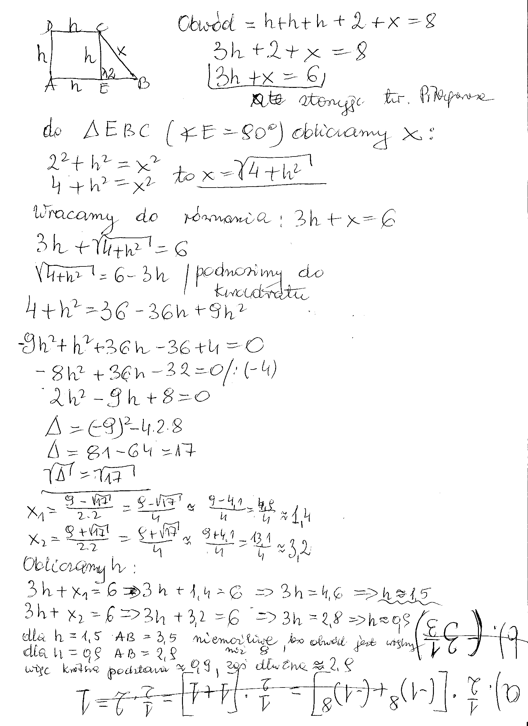
w trapezie prostokątnym o obwodzie 8 krótsza podstawa i wysokosc maja równe długosci.Różnica długosci podstaw wynosi 2.Oblicz dlugosci podstaw trapezu

Zadanie jest zamknięte. Autor zadania wybrał już najlepsze rozwiązanie lub straciło ono ważność.

Najlepsze rozwiązanie

Rozwiązania

Podobne zadania

CyborgR Prosze o pomoc, krotkie zadanie. Przedmiot: Matematyka / Liceum 2 rozwiązania autor: CyborgR 17.4.2010 (18:13)
basia0985 pomóżcie prosze:( Przedmiot: Matematyka / Liceum 1 rozwiązanie autor: basia0985 20.4.2010 (16:11)
basia0985 pomóżcie prosze:( Przedmiot: Matematyka / Liceum 1 rozwiązanie autor: basia0985 20.4.2010 (16:15)
basia0985 pomóżcie prosze:( Przedmiot: Matematyka / Liceum 1 rozwiązanie autor: basia0985 20.4.2010 (16:41)
malutkaaaa90 bardzo prosze o pomoc Przedmiot: Matematyka / Liceum 2 rozwiązania autor: malutkaaaa90 26.4.2010 (17:52)

Podobne materiały

Przydatność 50% Portret nauczyciela ktory utkwił mi w pamięci.

Statystyczny nauczyciel to zamężna kobieta, najczęściej z dwojgiem dzieci. Mieszka w mieście lub małym miasteczku, prowadząc jednopokoleniowe gospodarstwo domowe. Najczęściej wywodzi się ze wsi lub małego miasteczka, z rodziny robotniczej lub chłopskiej (praca w szkole to zawód pierwszego pokolenia inteligenckiego). Chętnie podnosi swoje kwalifikacje uczestnicząc w różnych...

Przydatność 60% Przygoda, która przydarzyła się mi w ferie.

Pewnego dnia w frie zimowe , Ank, Wiki, Jola, Maciek i Piotrek chcieli zrobić wyścigi w zjeżdzaniu na sankach.Po godzinie 12 spotkli sie Jako pierwszy zjechał Maciek a Jola mierzyła mu czas. Druga pojechała Anka wystartowała bardzo szybko. Wszyscy byli pewni że to ona wygra. ale Anka coraz bardziej sie rozpedzała w pewnym momencie zjechała z toru jadąc wprost na jezdnie...

Przydatność 50% Wyznaczanie prądów w obwodzie metodą oczkową - przykładowe zadanie prąd stały

Wyznaczanie prądów w obwodzie metodą oczkową - przykładowe zadanie prąd stały

Przydatność 50% Wyznaczanie prądów w obwodzie metodą gałęziową - przykładowe zadanie

Wyznaczanie prądów w obwodzie metodą gałęziową - przykładowe zadanie

Przydatność 50% Elementy R, L, C w obwodzie prądu sinusoidalnego

W obwodach prądu sinusoidalnego mamy do czynienia ze wszystkimi elementami pasywnymi, czyli z rezystorami o rezystancji R, kondensatorami o pojemności C, cewkami o indukcyjności L. Każdy element rzeczywisty jest tak zbudowany, że dominujące znaczenie ma jeden z wymienionych parametrów. Nie można jednak pominąć występowania pozostałych parametrów, chociaż w wielu wypadkach mają...

0 odpowiada - 0 ogląda - 1 rozwiązań

Dodaj zadanie

Zobacz więcej opcji