Treść zadania
Autor: dorianno Dodano: 4.12.2022 (10:35)
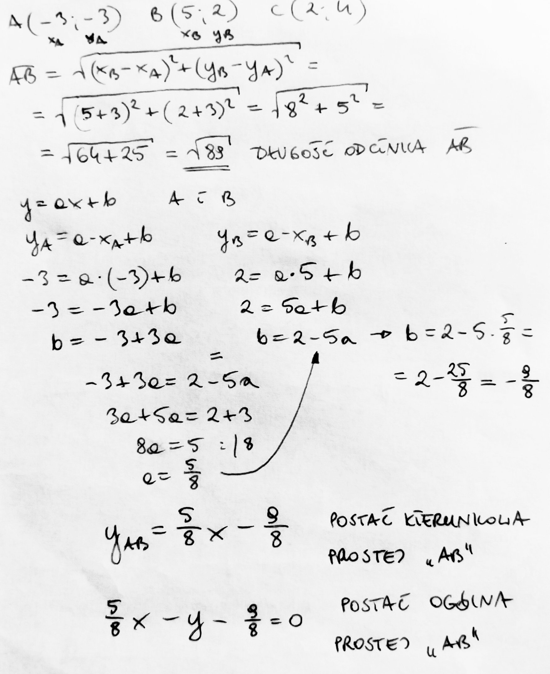
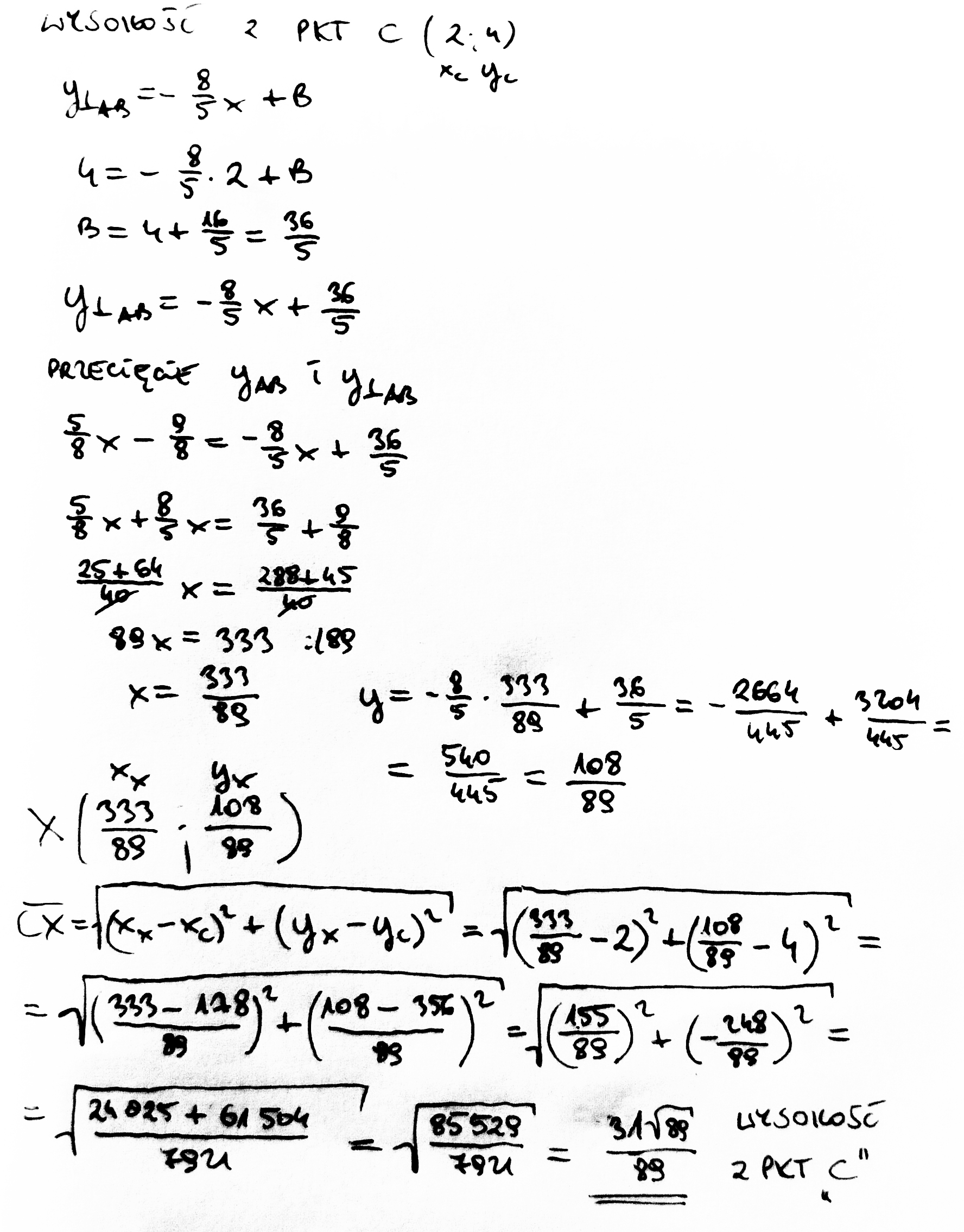
dany jest trójkąt o wierzchołkach ABC A(-3,-3) B(5,2) C(2,4) oblicz długość odcinka AB, równanie prostej AB w postaci kierunkowej i ogólnej, długość wysokości opuszczonej z wierzchołka C i pole trójkąta ABC proszę o pomoc i z góry dziękuje.
Rozwiąż to zadanie i zarób nawet 14 punktów. 2 za rozwiązanie zadania, 10 gdy Twoja odpowiedź zostanie uznana jako najlepsza.
Rozwiązania
Podobne zadania
|
|
1 rozwiązanie | autor: pawel 24.3.2010 (16:28) |
|
|
2 rozwiązania | autor: MartaGrzeszczak1 29.3.2010 (17:43) |
|
|
2 rozwiązania | autor: martusb93 29.3.2010 (18:20) |
|
|
1 rozwiązanie | autor: lusi1069 30.3.2010 (16:42) |
|
|
1 rozwiązanie | autor: olo 30.3.2010 (18:23) |
Podobne materiały
Przydatność 65% Oblicze Ojczyzny
(praca z 1 klasy gima) słowa w wierszu "*** (oblicze ojczyzny)" Tadeusza Różewicza "na początku ojczyzna jest blisko, na wyciągnięcie ręki" oznaczają, że gdy jesteśmy jeszcze mali ojczyzna to rodzice, koledzy i koleżanki, to nasz dom, nasze podwórko. ważniejsze jest wtedy dla nas to, że koleżance zaginął kot, a nie że wielu ludzi nie ma pracy i nie ma za co wyżywić...
Przydatność 55% wiersz Oblicze ojczyzny
Czytając wiersz Tadeusz Różewicza pt.Oblicze ojczyzny odnoszę wrażenie,iż poeta miał szczęśliwe dzieciństwo,chociaż lata w których przyszło mu dorastać nie należały do spokojnych.Wojna i okupacja nie zatarły jednak beztroskich i pełnych ciepłych barw wspomnień poety. Kiedy jest się dzieckiem,całym światem są najbliżsi: mama,tata i...
Przydatność 65% Drugie oblicze opalania
Praca w załączniku
Przydatność 85% Oblicz masę cząsteczkową kwasu siarkowodorowego.
Wzór kwasu siarkowodorowego jest taki: H2S więc trzeba pomnożyć dwa razy masę atomową wodory i dodać masę siarki 2*1u+ 32u = 2u + 32u = 34u Odp. Masa cząsteczkowa H2S wynosi 34u.
Przydatność 80% Przyczyny nie wstąpinia Dani, Szwecji i Wielkiej Brytani do EGW
Dania, Szwecja i Wielka Brytania nie są dotychczas pełnymi członkami Unii Gospodarczej i Walutowej i nie wchodzą do obszaru euro. Sytuacja ta może ulec zmianie i wszystkie one, bądź tylko niektóre, w perspektywie najbliższych lat mogą zrezygnować z własnego pieniądza na rzecz euro. Decyzja instytucji UGW w tej sprawie będzie mogła zostać podjęta zgodnie z procedurą...
0 odpowiada - 0 ogląda - 2 rozwiązań
49 64
werner2010 4.12.2022 (12:53)
Rozwiązanie na zdjęciach
Załączniki
Dodaj komentarz - Zgłoś nadużycie
werner2010 10.1.2023 (02:09)
Każda pani psa się szanuje, Ty nie
1 30
tritonx100 4.12.2022 (23:58)
Rozwiązania w załącznikach
Załączniki
Dodaj komentarz - Zgłoś nadużycie
tritonx100 5.12.2022 (15:35)
Masz rację. h=(31/89^05)*(89^0,5/89^0,5)=(31*89^0,5)/89.
ewka13 5.12.2022 (14:07)
Nie zostawia się niewymierności w mianowniku!