Treść zadania

Izula18krk

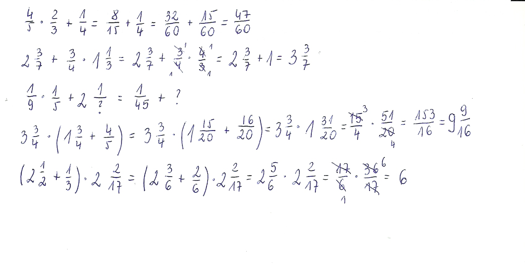
Oblicz wartość wyrażenia.wyniki przedstaw w najprostszej postaci
4/5*2/3+1/4=
2 3/7+3/4*1 1/3=
1/9*1/5+ 2 1/=
3 3/4* (1 3/4+4/5)=
(2 1/2+1/3)*2 2/17 =

Zgłoś nadużycie

Komentarze do zadania

Zaloguj się lub załóź konto aby dodać komentarz.

Rozwiąż to zadanie i zarób nawet 12 punktów. 2 za rozwiązanie zadania, 8 gdy Twoja odpowiedź zostanie uznana jako najlepsza.

Rozwiązania

Podobne zadania

Nieznany Oblicz bok kwadratu którego obwód jest równy obwodowi prostokąta o Przedmiot: Matematyka / Szkoła podstawowa 2 rozwiązania autor: Konto usunięte 29.3.2010 (18:52)
Oliwieta Oblicz Pole Prostokąta. Przedmiot: Matematyka / Szkoła podstawowa 16 rozwiązań autor: Oliwieta 13.4.2010 (15:24)
olika12 Kurtka po obniżce o 10%kosztuje 630zł oblicz cene kurtki przed obniżką Przedmiot: Matematyka / Szkoła podstawowa 4 rozwiązania autor: olika12 18.4.2010 (20:45)
zania77 boki kwadratu mają po 5 cm ,oblicz obwód kwadratu? Przedmiot: Matematyka / Szkoła podstawowa 20 rozwiązań autor: zania77 19.4.2010 (07:56)
Jumpa Oblicz Przedmiot: Matematyka / Szkoła podstawowa 3 rozwiązania autor: Jumpa 19.4.2010 (20:27)

Podobne materiały

Przydatność 65% Oblicze Ojczyzny

(praca z 1 klasy gima) słowa w wierszu "*** (oblicze ojczyzny)" Tadeusza Różewicza "na początku ojczyzna jest blisko, na wyciągnięcie ręki" oznaczają, że gdy jesteśmy jeszcze mali ojczyzna to rodzice, koledzy i koleżanki, to nasz dom, nasze podwórko. ważniejsze jest wtedy dla nas to, że koleżance zaginął kot, a nie że wielu ludzi nie ma pracy i nie ma za co wyżywić...

Przydatność 55% wiersz Oblicze ojczyzny

Czytając wiersz Tadeusz Różewicza pt.Oblicze ojczyzny odnoszę wrażenie,iż poeta miał szczęśliwe dzieciństwo,chociaż lata w których przyszło mu dorastać nie należały do spokojnych.Wojna i okupacja nie zatarły jednak beztroskich i pełnych ciepłych barw wspomnień poety. Kiedy jest się dzieckiem,całym światem są najbliżsi: mama,tata i...

Przydatność 65% Drugie oblicze opalania

Praca w załączniku

Przydatność 85% Oblicz masę cząsteczkową kwasu siarkowodorowego.

Wzór kwasu siarkowodorowego jest taki: H2S więc trzeba pomnożyć dwa razy masę atomową wodory i dodać masę siarki 2*1u+ 32u = 2u + 32u = 34u Odp. Masa cząsteczkowa H2S wynosi 34u.

Przydatność 100% "Złowrogie oblicze świata..." – rozważania nie tylko o "Procesie" Franza Kafki.

Historia ludzkości obfituje w przykłady „piekła na ziemi”, piekła które zostało zgotowane ludziom przez innych ludzi. Czasem to piekło stawało się rzeczywistością dla jego mieszkańców. Tracili oni nadzieję na wydostanie się z niego kiedykolwiek. Co więcej, po jakimś czasie zapominali oni o istnieniu innego, normalnego świata. Cały aparat utrzymujący piekło doprowadzał...

0 odpowiada - 0 ogląda - 1 rozwiązań

Dodaj zadanie

Zobacz więcej opcji