Treść zadania

Dorota_k123

Witam zadania z matematyki (wyraźnie napisane z drobnymi błędami i bo inaczej nauczycielka mi nie zaliczy dziękować

Załączniki do zadania

Zadanie jest zamknięte. Autor zadania wybrał już najlepsze rozwiązanie lub straciło ono ważność.

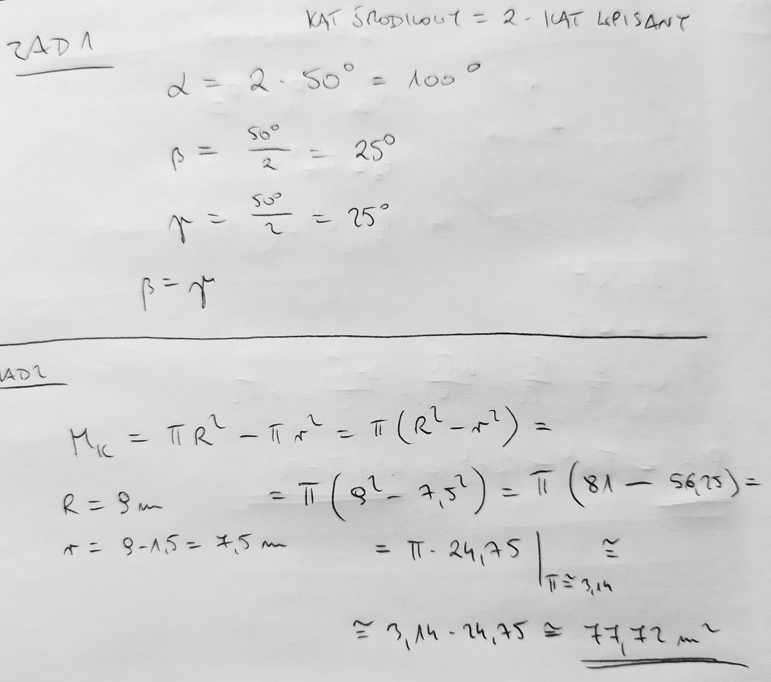
Najlepsze rozwiązanie

Rozwiązania

Podobne zadania

mania1408-k1 proszę o pomoc zadania na jutro. Przedmiot: Matematyka / Liceum 2 rozwiązania autor: mania1408-k1 13.4.2010 (16:43)
mania1408-k1 proszę o pomoc zadania na jutro. Przedmiot: Matematyka / Liceum 1 rozwiązanie autor: mania1408-k1 13.4.2010 (16:49)
mania1408-k1 Pole i wycinek koła.pomocy ! zadania na jutro. Przedmiot: Matematyka / Liceum 1 rozwiązanie autor: mania1408-k1 20.4.2010 (15:12)
mania1992 proszę o pomoc!! (geometria płaska) zadania na wtorek. Przedmiot: Matematyka / Liceum 1 rozwiązanie autor: mania1992 24.4.2010 (13:10)
mania1992 proszę o pomoc!! (geometria płaska) zadania na wtorek. Przedmiot: Matematyka / Liceum 1 rozwiązanie autor: mania1992 24.4.2010 (13:02)

Podobne materiały

Przydatność 75% Programy napisane w delphi

Może sie komuś przyda, są tam m.in. gra w życie"live", odbijajaca sie piłka,test wyboru,itp.

Przydatność 50% Egzaminy kompetencji z matematyki

Matematyka Zestaw egzaminacyjny I Życzę powodzenia! -------------------------------------------------------------------------------- 1. Oblicz 132% różnicy liczb: 115,4 i -84,6. a) 15 b) 1297 c) 264 d) -3 2. Doprowadź wyrażenie (a-5)2 - (2a+3)(a-3) do najprostszej postaci. a) a2-7a-34 b) -a2-7a+34 c) a2-8a-34 d) a2-7a 3. Oblicz wartość wyrażenia a) b) c) d)...

Przydatność 55% Różne tematy z Matematyki

Patrz załączniki: - Trójkąt równoboczny i inne - Wektory - Granice funkcji - Wzory Wiete

Przydatność 55% Historia matematyki -Wiek XIX

HISTORIA MATEMATYKI - WIEK XIX Charakterystyka epoki: • Rewolucja francuska i okres napoleoński stworzyły korzystne warunki dla rewolucji przemysłowej w Europie, co wzmogło uprawianie nauk fizycznych, a tym samym prawie idealne warunki dla rozwoju matematyki. • Zaistniała konieczność zreformowania i odmłodzenia szkół i uniwersytetów. • Źródłem rozwoju...

Przydatność 75% Plan rozwoju zawodowego nauczyciela matematyki

Plan rozwoju zawodowego nauczyciela kontraktowego

0 odpowiada - 0 ogląda - 1 rozwiązań

Dodaj zadanie

Zobacz więcej opcji