Treść zadania

Martirenti1423

Zadanie
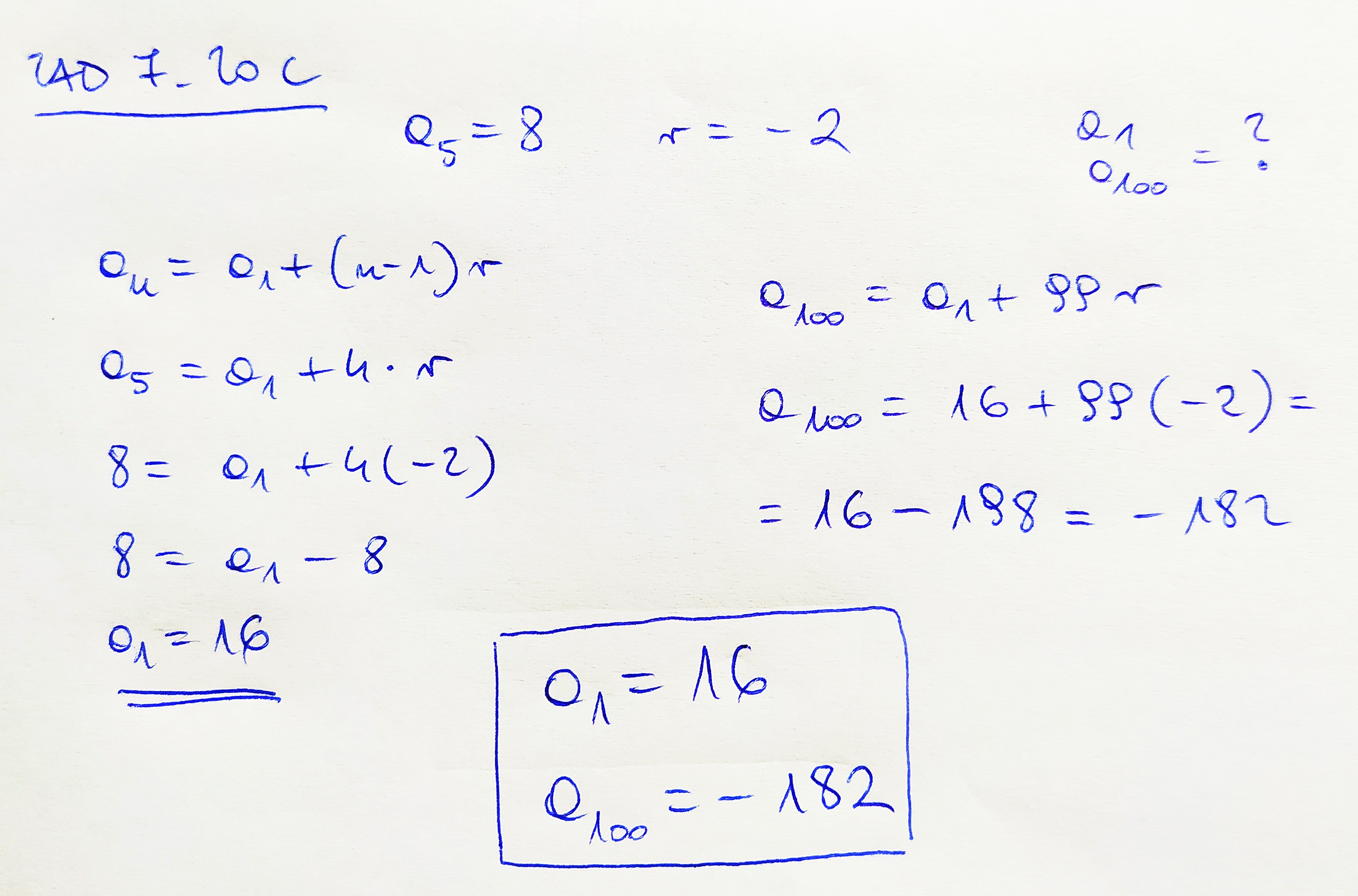
7.20 C
7.21 C, D

Załączniki do zadania

Zgłoś nadużycie

Komentarze do zadania

Zaloguj się lub załóź konto aby dodać komentarz.

Rozwiąż to zadanie i zarób nawet 14 punktów. 2 za rozwiązanie zadania, 10 gdy Twoja odpowiedź zostanie uznana jako najlepsza.

Rozwiązania

Podobne zadania

wisienka22 zadanie7.oblicz zadanie8.oblicz Przedmiot: Matematyka / Liceum 1 rozwiązanie autor: wisienka22 15.1.2015 (16:21)
kwiatek2a3 zadanie7. wyłącz wspólny czynnik przed nawias zadanie 8. ania ma x lat, Przedmiot: Matematyka / Liceum 1 rozwiązanie autor: kwiatek2a3 24.9.2016 (14:29)

0 odpowiada - 0 ogląda - 1 rozwiązań

Dodaj zadanie

Zobacz więcej opcji