Treść zadania
Autor: anioleksmierci Dodano: 10.3.2021 (10:13)
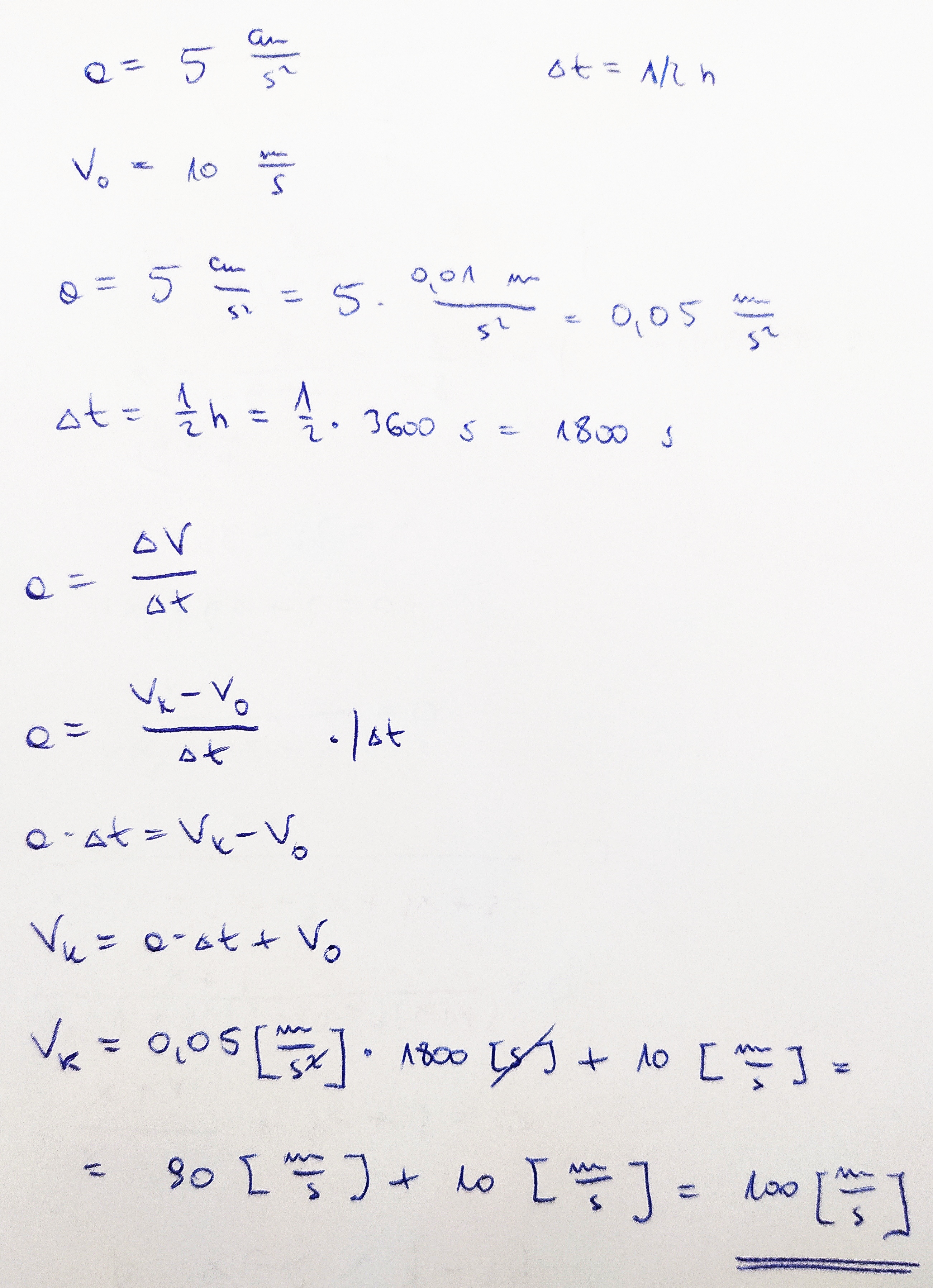
Przypuśćmy, że chcemy znaleźć prędkość punktu materialnego poruszającego się ze stałym przyspieszeniem 5,00cm/s^2, po upływie 1/2h od początku ruchu, jeżeli jego prędkość początkowa wynosiła 10,0 m/s. Decydujemy się jako jednostki długości wybrać metry, a jako jednostki czasu sekundy.
Zadanie jest zamknięte. Autor zadania wybrał już najlepsze rozwiązanie lub straciło ono ważność.
Najlepsze rozwiązanie
Rozwiązania
Podobne zadania
|
|
1 rozwiązanie | autor: zupanicolga 11.9.2010 (21:41) |
|
|
1 rozwiązanie | autor: misia0707 28.9.2010 (20:50) |
|
|
3 rozwiązania | autor: karol1614 22.10.2010 (14:34) |
|
|
1 rozwiązanie | autor: bozkoz 4.11.2010 (19:39) |
|
|
1 rozwiązanie | autor: lipstar 8.11.2010 (19:52) |
Podobne materiały
Przydatność 65% Dlaczego chcemy być inni? Młodzież, a uzależnienia.
„W lawinowym tempie zaczęły narastać moje trzy główne problemy: masturbacja, jąkanie i obżarstwo. (...) Udawałem, że nie widzę jak moi Rodzice cierpią widząc, co się dzieje, szczerze mówiąc ja także udawałem przed nimi i przed samym sobą, że to mi w ogóle nie przeszkadza1.” Takimi wstrząsającymi zwierzeniami, na swoim blogu, dzieli się z innymi pewien młody...
Przydatność 60% List do osoby którą chcemy poznać
Miasto, data Szanowna osoba Na początku mojego listu chciałabym Cię serdecznie pozdrowić. Nie znamy się więc może napiszę parę słów o sobie. Nazywam się imię i nazwisko, mam ileś lat. Mieszkam w małym mieście o nazwie nazwa. Interesuję się tworzeniem muzyki i chciałabym w przyszłości pisać teksty i komponować muzykę. Dlatego właśnie piszę do Ciebie. Chciałabym...
Przydatność 70% Człowiek z punktu widzenia filozofii.
Człowiek - z punktu widzenia filozofii swoisty przedmiot refleksji dany jako psychofizyczna całość, ukonstytuowana przez równoczesne bytowanie w 2 wymiarach: cielesno-fizycznym, łączącym cz. ze światem przyrody, z którego się ewolucyjnie wywodzi i do którego jako gatunek biologiczny należy, oraz - w najogólniejszym tego słowa znaczeniu - duchowym, odróżniającym go od reszty...
Przydatność 95% Śmierć z punktu widzenia biologicznego
Z biologicznego punktu widzenia śmierć jest ogniwem zamykającym krąg przemian zachodzących w przyrodzie. Śmierć należy traktować jako proces umierania składający się z kilku etapów: śmierć kliniczną, osobniczą i biologiczną. Procesem bezpośrednio poprzedzającym śmierć jest agonia, która polega na powolnym i stopniowym lub też szybkim zanikaniu istotnych dla...
Przydatność 95% Śmierć z biologicznego punktu widzenia
1.Śmierć-kres życia osobnika żywego , nieodwracalne ustanie wszystkich funkcji życiowych, także molekuły i struktury związane z życiem stają się zdeorganizowane i nie można ich odróżnić od podobnych molekuł w przyrodzie nieożywionej. W medycynie za moment śmierci uznawano zatrzymanie oddychania oraz czynności serca. Rozwój mechaniczny pomocy medycznej powoduje , że obecnie...
0 odpowiada - 0 ogląda - 1 rozwiązań
2 2
werner2010 10.3.2021 (11:49)
Rozwiązanie na zdjęciu
Załączniki
Dodawanie komentarzy zablokowane - Zgłoś nadużycie