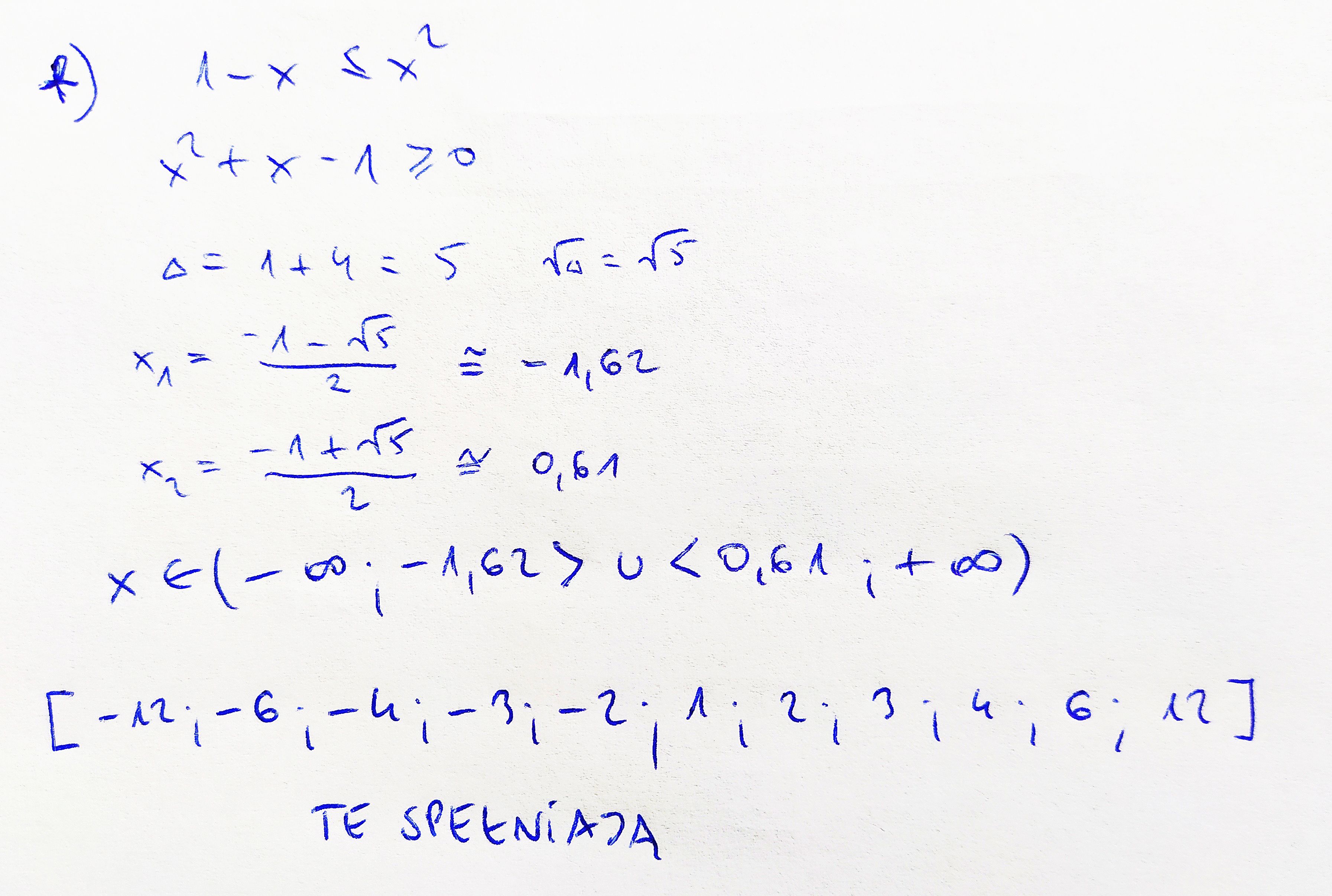
Treść zadania

zawia12

Pilne! Matematyka.
Zad 9, 10, 11pilne!

Załączniki do zadania

Zgłoś nadużycie

Komentarze do zadania

Zaloguj się lub załóź konto aby dodać komentarz.

Rozwiąż to zadanie i zarób nawet 14 punktów. 2 za rozwiązanie zadania, 10 gdy Twoja odpowiedź zostanie uznana jako najlepsza.

Rozwiązania

Podobne zadania

pako2411 Pilne Położenie prostej i okręgu Przedmiot: Matematyka / Liceum 1 rozwiązanie autor: pako2411 14.4.2010 (17:56)
djmikuss WEKTORY - PILNE Przedmiot: Matematyka / Liceum 1 rozwiązanie autor: djmikuss 16.4.2010 (09:32)
nikola29 PILNE ! Przedmiot: Matematyka / Liceum 1 rozwiązanie autor: nikola29 16.4.2010 (17:18)
kasiaH171 pilne na jutro Przedmiot: Matematyka / Liceum 1 rozwiązanie autor: kasiaH171 22.4.2010 (19:59)
kasiaH171 pilne Przedmiot: Matematyka / Liceum 1 rozwiązanie autor: kasiaH171 22.4.2010 (19:56)

Podobne materiały

Przydatność 55% Pierwiastki

WĘGIEL: 4 e walencyjne (6C), najcz jest 4 wart, wyst w 2 odmianach izotopowych C12 i C13, wyst w 2 postaciach: diament (nie przew prądu), grafit (przew prąd), wyst w stopniach utlenienia: -4 (CO2), 4 (CH4), CO-tl węgla (czad). CO2 otrzymujemy w reakcji węglanów z kwasem solnym. AZOT: właściwości: bezbarwny, bezwonny, słabo rozp w H2O, stężenie w powietrzu – 78%, 5 e walencyjne...

Przydatność 50% Pierwiastki

Pełne opisy każdego z pierwiastków znajdujących się w Tablicy Mendelejewa

Przydatność 65% Pierwiastki

(Ac) aktyn ? (Am) ameryk ? (Sb) antymon ? (Ar) argon ? (As) arsen ? (At) astat ? (N) azot ? (Ba) bar ? (Bk) berkel ? (Be) beryl ? (Bi) bizmut ? (Bh) bohr ? (B) bor ? (Br) brom ? (Ce) cer ? (Cs) cez ? (Cl) chlor ? (Cr) chrom ? (Sn) cyna ? (Zn) cynk ? (Zr) cyrkon ? (Ds) darmsztadt ? (Db) dubn ? (Dy) dysproz ? (Es) einstein ? (Er) erb ? (Eu) europ ? (Fm) ferm ? (F) fluor ? (P) fosfor ? (Fr) frans...

Przydatność 65% Pierwiastki śmierci

Pierwiastki śmierci. Mianem pierwiastków śmierci nazywa się kilkanaście pierwiastków występujących w przyrodzie, które wpływają na organizm człowieka negatywnie a bardzo często nawet zabójczo. Pierwiastkami śmierci są przede wszystkim metale ciężkie, uznawane obecnie za zbędne a często toksyczne. Wprowadzone jednorazowo, a także w małych dawkach przez dłuższy czas,...

Przydatność 65% Pierwiastki Radioaktywne

Pierwiastki chemiczne, których wszystkie izotopy są promieniotwórcze. Są to: technet (symbol Tc) o liczbie atomowej Z=43, promet (symbol Pm) o liczbie atomowej Z=61, polon (symbol Po) o liczbie atomowej Z=84 oraz wszystkie pierwiastki położone w układzie okresowym za polonem. Pierwiastki promieniotwórcze położone za uranem noszą nazwę pierwiastków transuranowych lub transuranów,...

0 odpowiada - 0 ogląda - 1 rozwiązań

Dodaj zadanie

Zobacz więcej opcji