Treść zadania

PAULLLLA

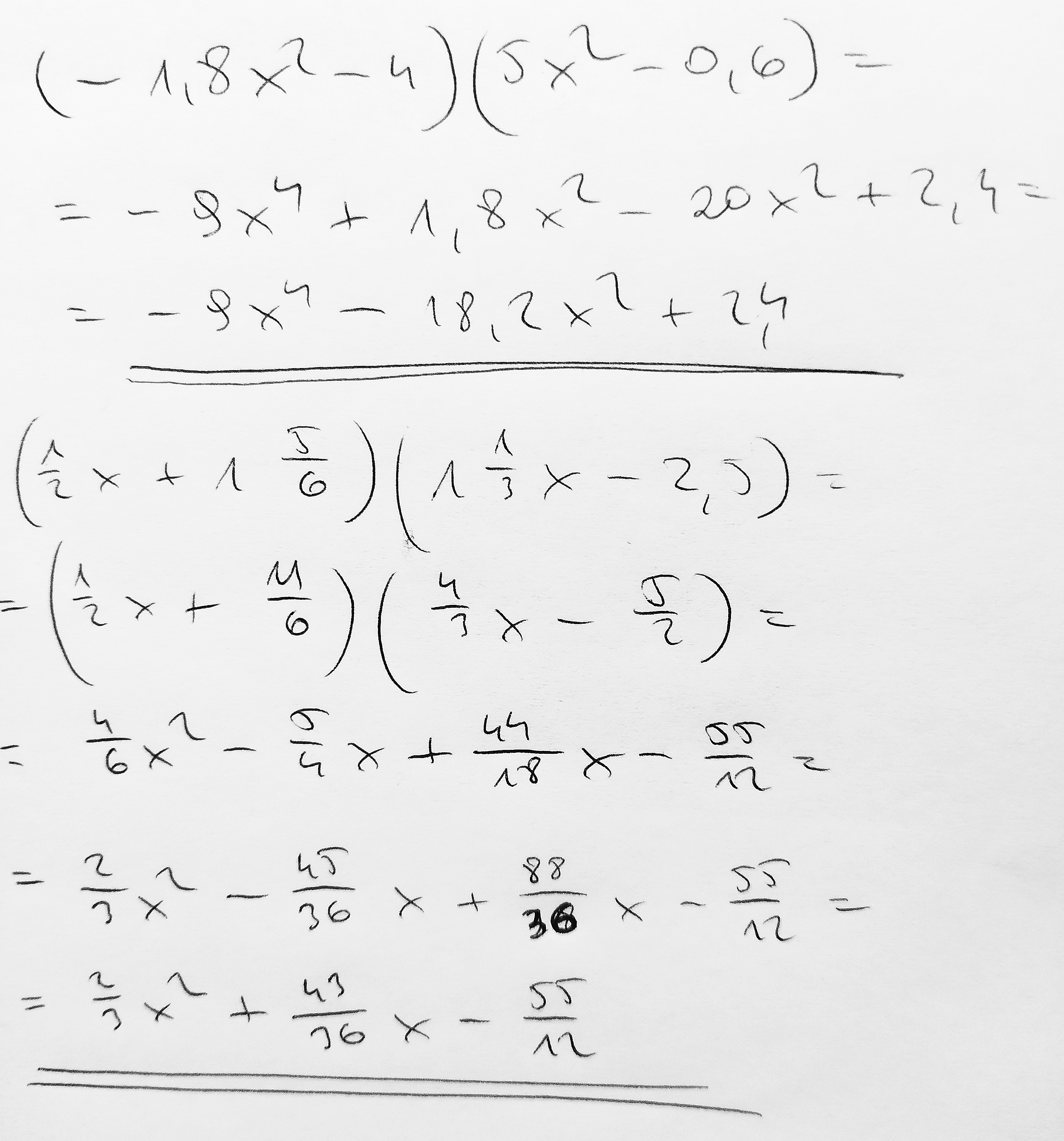
Proszę o pomoc w rozwiązaniu zadań wraz z obliczeniami .Mam wyliczone ale nie jestem pewna czy na pewno dobrze zrobiłam.
Mi wyszło w pierwszym zadaniu
-9x do potęgi 4 -3,48-20xdo kwadratu
a drugim:
2/3x do kwadraru +43/36x- 55/12
nie wiem czy poprawnie?

Załączniki do zadania

Zadanie jest zamknięte. Autor zadania wybrał już najlepsze rozwiązanie lub straciło ono ważność.

Najlepsze rozwiązanie

Rozwiązania

Podobne zadania

paulaa123 Proszęę o pomoc ,! wyrażenia alg. Przedmiot: Matematyka / Szkoła podstawowa 1 rozwiązanie autor: paulaa123 13.4.2010 (14:45)
paulaa123 wyrażenia alg. przykłdy , proszę o pomoc ! Przedmiot: Matematyka / Szkoła podstawowa 2 rozwiązania autor: paulaa123 15.4.2010 (14:48)
mateuszmrozowicki11 proszę o pomoc Przedmiot: Matematyka / Szkoła podstawowa 2 rozwiązania autor: mateuszmrozowicki11 19.4.2010 (15:52)
Squab Prosze o pomoc Przedmiot: Matematyka / Szkoła podstawowa 4 rozwiązania autor: Squab 20.4.2010 (15:58)
Julka643 Pilne do dzisiaj musze mieć..!!!..Prosze o pomoc..!!!!! Przedmiot: Matematyka / Szkoła podstawowa 4 rozwiązania autor: Julka643 21.4.2010 (15:36)

Podobne materiały

Przydatność 80% Pierwsza pomoc - pomoc przedmedyczna

Pierwsza Pomoc Przedmedyczna Pierwsza pomoc przedmedyczna to czynności ratownika (osoby udzielającej pierwszą pomoc) prowadzące do zabezpieczenia i utrzymania przy życiu osoby poszkodowanej, do czasu przyjazdu wykwalifikowanych służb. Etapy pierwszej pomocy 1. ocena sytuacji 2. zabezpieczenie miejsca zdarzenia 3. ocena stanu poszkodowanego 4. wezwanie pomocy - 999 ? Pogotowie...

Przydatność 100% Mam prawo do...

Prawa dziecka są często zaniedbywane, nie tylko w Polsce, ale i na całym świecie. Podstawowe prawo dziecka – do życia i rozwoju jest często łamane. Często wobec nieletnich stosowana jest przemoc fizyczna lub psychiczna, wyzysk i nadużycia seksualne ze szczególnym okrucieństwem. Matki dokonują aborcji, dzieci są zaniedbywane, bite, wykorzystywane. Mamy prawo do odpowiedniego...

Przydatność 85% Czy doceniam, to co mam?

Bardzo czesto ludzie nie doceniaja tego, co maja. Nie zdaja sobie sprawy, jak potrzebne moze byc na przykład zwyczajne jedzenie. Ludzie zauwazaja to dopiero wtedy, gdy to straca. Ja uwazam, iz czesto nie doceniam tego, co mam. Bardzo czesto zdarza mi sie narzekac na moje ubrania, natomiast sa ludzie, ktorzy nie maja sie w co ubrac. Czesto chodza w tych samych ubraniach, gdyz nie stac...

Przydatność 100% Czy doceniam to co mam ?

Czasami zastanawiam się co by było gdybym była biedna , nie miała co zjeść , czy mieszkała na ulicy prosząc o pomoc. Mam 14 lat i jestem szczęśliwa i zdrowa. Jestem zwykłą nastolatką która mieszka w mieście .Nie mieszkam w wielkiej willi z basenem , nie jestem księżniczką . Nigdy nie jestem głodna , mam w co się ubrać. To mi starcza do szczęśliwego życia . Choć...

Przydatność 50% Czy doceniam to co mam?

Odpowiedź na wyżej zadane pytanie brzmi tak, ponieważ uważam, że doceniam wszystko co dała mi natura. Potrafię docenić to, że mogę pisać tę pracę, że mam ten długopis, którym mogę zapisywać. Inni nie mogą. Mogę narzekać na ból ręki, a inni marzą, aby ją poczuć, móc nią ruszać lub w ogóle mieć. Doceniam to, że urodziłam się w Polsce, w takiej grupie społecznej,...

0 odpowiada - 0 ogląda - 1 rozwiązań

Dodaj zadanie

Zobacz więcej opcji