Treść zadania
Autor: ~ola lusinia Dodano: 18.1.2021 (17:13)
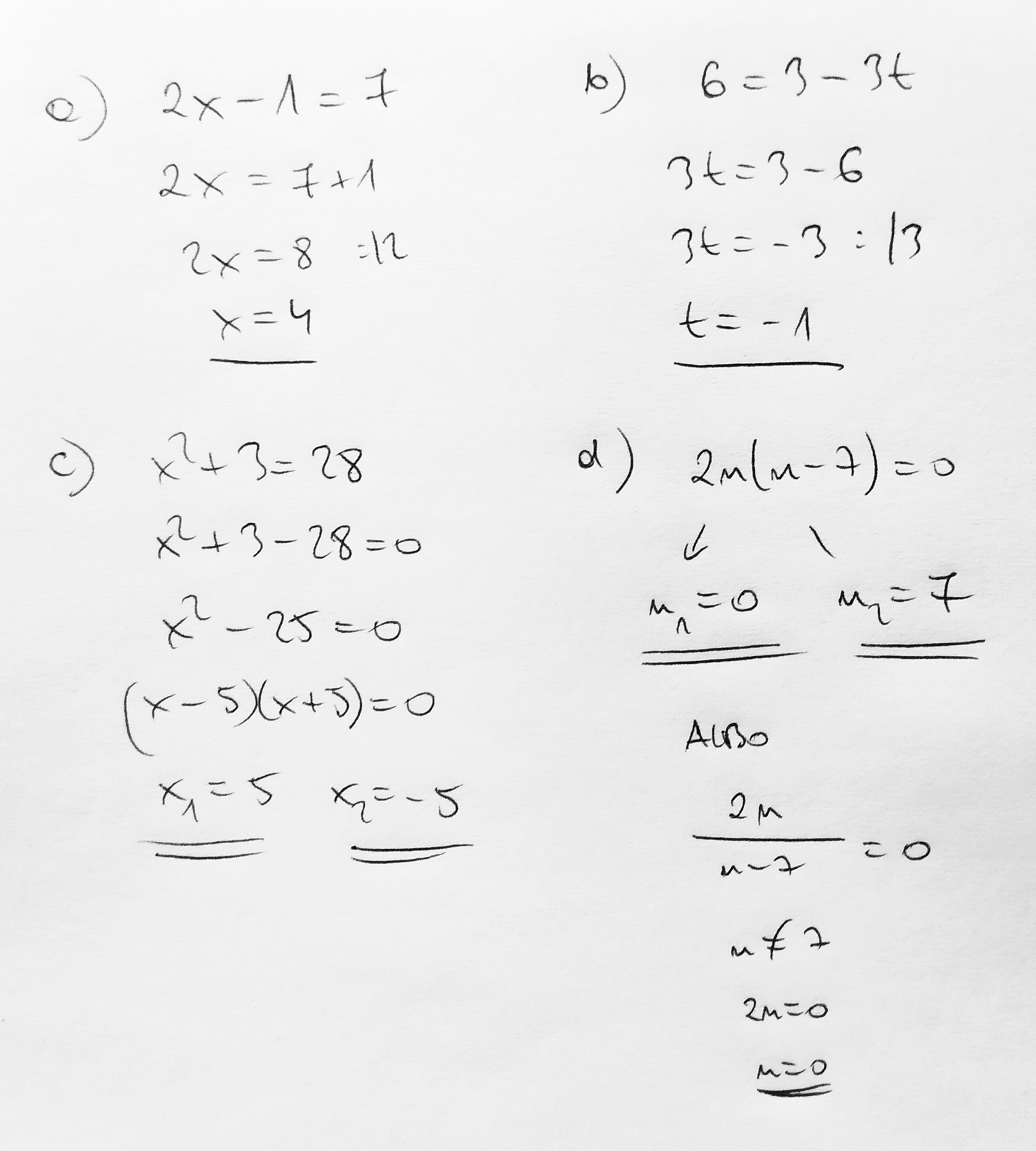
1. Sprawdź w pamięci, które z podanych liczb spełniają dane równanie:
a)2x - 1 = 7 1, 4,5
b)6 = 3 - 3t -1,1,2
c)x^2 + 3 = 28 25,5,-5
d)2n(n - 7) = 0 -7,0,7
pilnie jak najszybciej potrębuje całych działań i odpowiedzi z góry dziekuje
^-do kwadratu
?ułamek
Rozwiąż to zadanie i zarób nawet 14 punktów. 2 za rozwiązanie zadania, 10 gdy Twoja odpowiedź zostanie uznana jako najlepsza.
Rozwiązania
Podobne zadania
|
|
2 rozwiązania | autor: agata96 28.3.2010 (21:46) |
|
|
1 rozwiązanie | autor: basia0501 30.3.2010 (21:19) |
|
|
1 rozwiązanie | autor: zuza94 8.4.2010 (18:41) |
|
|
1 rozwiązanie | autor: daria0024 11.4.2010 (15:11) |
|
|
1 rozwiązanie | autor: lejek94 14.4.2010 (16:12) |
Podobne materiały
Przydatność 60% Dzieje Liczb
Liczba, jest podstawowym pojęciem matematyki, które powstało w świadomości człowieka na wiele tysięcy lat przed naszą erą, a następnie kształtowało się i rozwijało wraz z rozwojem cywilizacji i kultury. Z chwilą, gdy rozróżnienie między „jeden” i „wiele”- charakterystyczne dla ludów pierwotnych- przestało wystarczać, wprowadzone zostały liczby: 1,2,3,4,...,a więc...
Przydatność 75% Symbolika liczb
Liczbę 1 uważano dawno, dawno temu za liczbę najdoskonalszą. Jest to pierwsza liczba nieparzysta. Wszystkie inne liczby pochodzą od jedynki, np.2, to 1 + 1. Jeden - ile to jest: dużo czy mało? Zastanów się! Wszyscy chcą być pierwsi: w nauce, w sporcie, w zabawie, ale nikt nie chce dostać jedynki z klasówki! Liczba 2 jest pierwszą liczbą parzystą. Uważana była przed wiekami...
Przydatność 60% Polska - ogółne dane
Polozenie polski na kuli ziemskiej. Polska ma szer pół. a dł wschodnia. Konsekwencje rozciaglosci poludnikowej jest roznica trwania dnia miedzy pół. a poł. Czerwca w Polsce dzien trwa 17h20min w gdyni i jest dluzszy o 1h20min Zakopanem. Konsekwencja rozciaglosci rownoleznikowej jest roznica we wschodzie slonaca, slonce wschodzi wczesniej o 40 min na wsch Polski. Czas letni wedlug...
Przydatność 60% Chorwacja - główne dane
CHORWACJA. PRZEMYSŁ. Główną rolę w gospodarce Chorwacji odgrywa przemysł przetwórczy o zróżnicowanej strukturze gałęziowej; do najważniejszych gałęzi należą: hutnictwo żelaza (Sisak) i aluminium (Lozovac, Razine), przemysł stoczn. (Rijeka, Split, Pula) oraz petrochem. (Sisak, Osijek, Split); duże znaczenie ma przemysł maszyn. (m.in. fabryki: obrabiarek — Zagrzeb, maszyn...
Przydatność 75% Księżyc - ogólne dane
1.Księżyc : To naturalny satelita Ziemi. Otacza ją po swojej orbicie oddalonej od planety o 384400km. Jest piątym co do wielkości Księżycem w Układzie Słonecznym. Średnica Księżyca wynosi trochę więcej niż 1/4 średnicy Ziemi. Przyspieszenie grawitacyjne na jego powierzchni jest blisko 6 razy słabsze, niż na Ziemi (1,6 n/kg). Cały czas widzimy tylko jedną stronę...
0 odpowiada - 0 ogląda - 1 rozwiązań
1 0
werner2010 19.1.2021 (17:25)
Rozwiązanie na zdjęciu
Załączniki
Dodaj komentarz - Zgłoś nadużycie