Treść zadania

Rifleman2k16

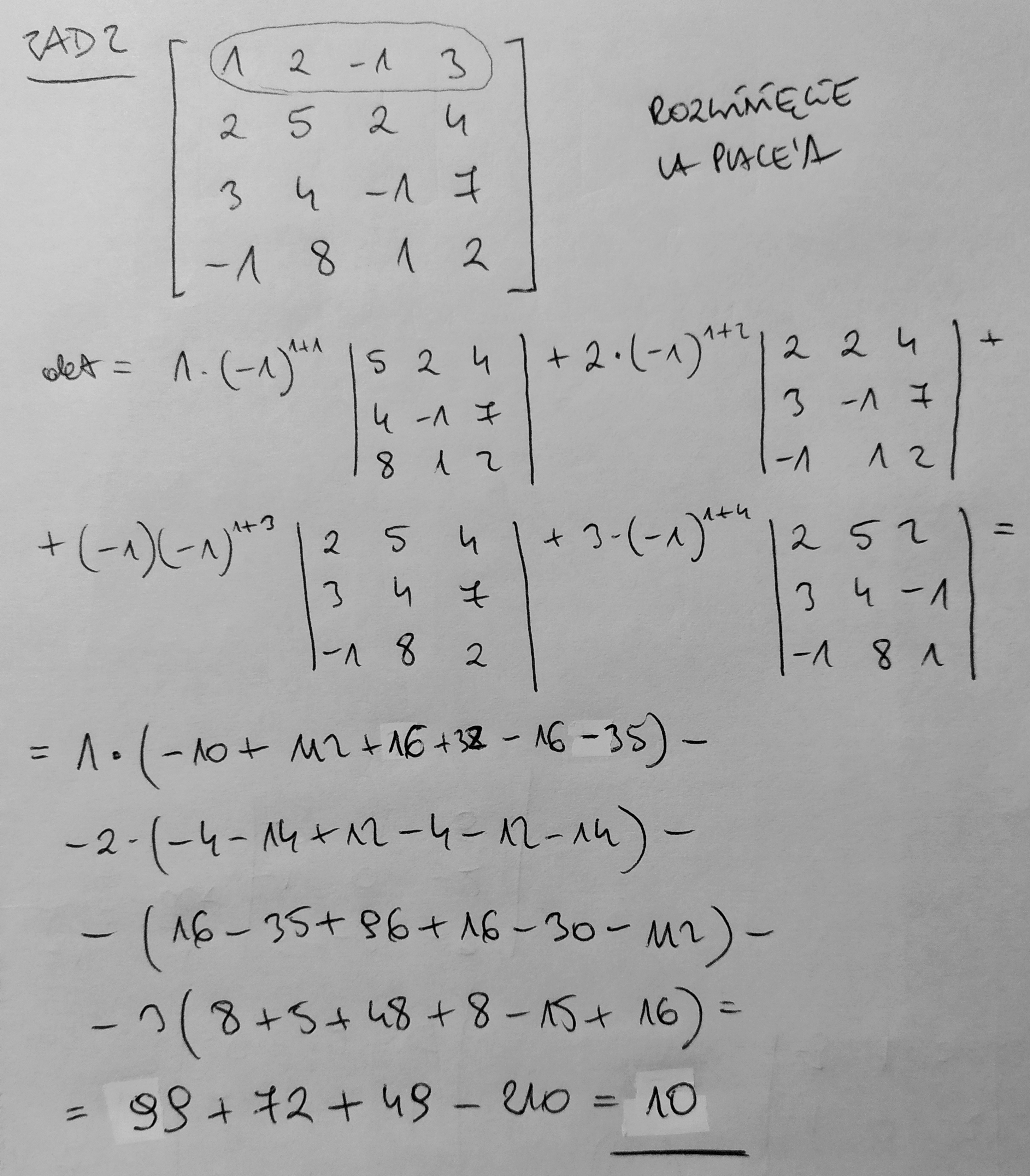
Macierze pomoże ktos pliiis

Załączniki do zadania

Zgłoś nadużycie

Komentarze do zadania

Zaloguj się lub załóź konto aby dodać komentarz.

Rozwiąż to zadanie i zarób nawet 16 punktów. 2 za rozwiązanie zadania, 12 gdy Twoja odpowiedź zostanie uznana jako najlepsza.

Rozwiązania

Podobne zadania

emef9 macierze,wektory,całki, pochodne, ekstremum Przedmiot: Matematyka / Studia 1 rozwiązanie autor: emef9 4.2.2011 (16:21)
emef9 macierze i wektory z góry dzięki Przedmiot: Matematyka / Studia 1 rozwiązanie autor: emef9 10.2.2011 (15:44)
dflorian3 • Znajdź argument liczby zespolonej z = (1 + i√3)(1 − i) . Moze mi ktos Przedmiot: Matematyka / Studia 1 rozwiązanie autor: dflorian3 18.11.2014 (19:04)
Wo33ei Macierze Rozwiąż równanie Przedmiot: Matematyka / Studia 1 rozwiązanie autor: Wo33ei 23.11.2014 (15:54)
matiwp95 zadanie z pochodnymi .CZeść czy molgby mi ktos pomoc rozwiazac jedno Przedmiot: Matematyka / Studia 1 rozwiązanie autor: matiwp95 14.12.2015 (17:16)

Podobne materiały

Przydatność 75% Macierze

macierze

Przydatność 80% Macierze dyskowe RAID

Technika ochrony danych za pomocą macierzy dyskowych RAID Redundant Array of lnexpensive Discs) jest znacznie szerszą, ujednoliconą formą tworzenia bezpiecznych kopii oraz podniesienia poziomu bezpieczeństwa i przechowywania danych na nośnikach dyskowych. Obejmuje wspomniane tradycyjne techniki bezpiecznej rejestracji mirroring i duplexing - stosowane samodzielnie we wczśniejszych...

Przydatność 65% Macierz Boston Consulting Group

Macierz BCG w załączniku

Przydatność 80% Analiza SWOT, pięć sił Portera, macierz BCG, analiza makrootoczenia, analiza grup strategicznych dla firmy Sony-Ericsson

Treść tak jak wyżej napisałam, wszystko jest w załączniku.

0 odpowiada - 0 ogląda - 1 rozwiązań

Dodaj zadanie

Zobacz więcej opcji