Treść zadania
Autor: Konto usunięte Dodano: 13.11.2020 (20:09)
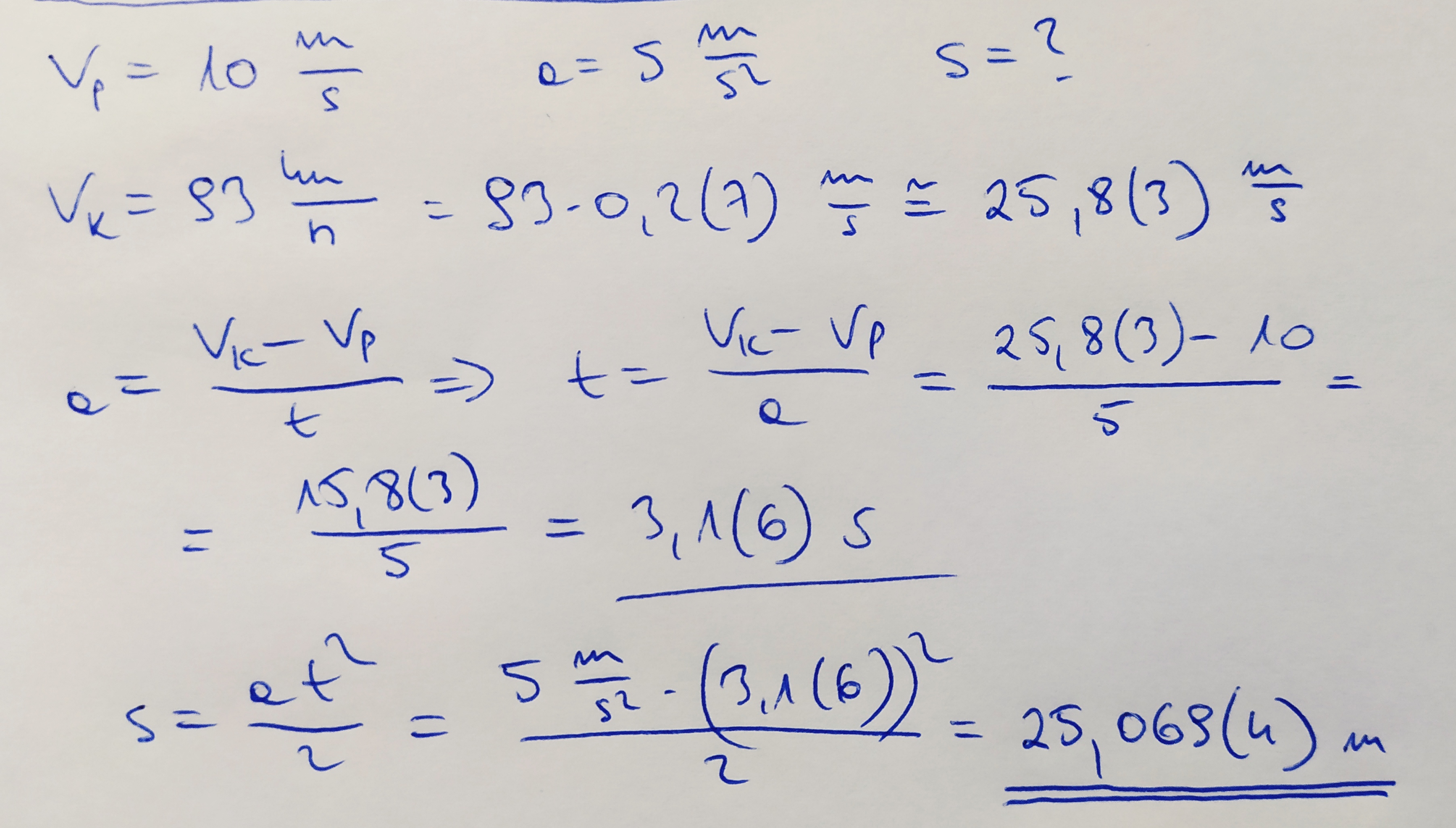
Poruszający się z prędkością 10 m/s pojazd zaczyna przyspieszać z przyspieszeniem 5,0m/s2
i uzyskuje prędkość 93 km/h.
Jaką drogę pokona podczas przyspieszania?
Zadanie jest zamknięte. Autor zadania wybrał już najlepsze rozwiązanie lub straciło ono ważność.
Rozwiązania
Podobne zadania
|
|
1 rozwiązanie | autor: michal 26.3.2010 (02:09) |
|
|
2 rozwiązania | autor: stefania 1.10.2010 (17:26) |
|
|
1 rozwiązanie | autor: ula913 1.10.2010 (17:27) |
|
|
1 rozwiązanie | autor: misia0707 2.10.2010 (12:53) |
|
|
1 rozwiązanie | autor: iwcia32xD 2.10.2010 (15:19) |
Podobne materiały
Przydatność 100% „Gdzie kończy się rzeczywistość, a zaczyna absurd”
Pewnego słonecznego dnia Ania i Zenek wybrali na wycieczkę do miejscowego lasu, aby nazbierać grzybów na zupę. Wychodząc z domu Ania wzięła ze sobą koszyk na grzy- by, a Zenek plecak z jedzeniem i piciem na drogę. W końcu wyszli i wyruszyli. Autobusem dojechali do drogi, która prowadziła do lasu. Gdy tylko weszli do niego Ania zauważyła, że nie ma tu żadnych grzybów i...
Przydatność 50% "Pisarz tylko zaczyna, dopiero czytelnik dzieło rozwija, dopełnia wzbogaca"- przekonuje Ryszard Kapuściński. Podejmij dialog z sądem pisarza, przywołując stosowne utwory.
"Obym ja kiedyś dożył tej pociechy, by moje dzieło zstąpiło pod strzechy!" Tak - według mnie właśnie to jest ważne - by utwór miał czytelników - to oni i tylko oni potrafią czynić z niego dzieło. Tylko dzięki nim utwór staje się uniwersalny. Oni sprawiają, ze jest ponadczasowa. Literatura uczy ludzi, jak żyć, daje im cenne rady i wskazówki, ludzie natomiast czynią z...
0 odpowiada - 0 ogląda - 1 rozwiązań
2 0
werner2010 14.11.2020 (23:11)
Rozwiązanie w plikach
Załączniki
Dodawanie komentarzy zablokowane - Zgłoś nadużycie