Zaliczaj.pl
Liceum » Matematyka
Dodaj do ulubionych Drukuj
Autor: Juka111 Dodano: 11.5.2020 (18:25)
Zad 3,4
Zgłoś nadużycie
Zadanie jest zamknięte. Autor zadania wybrał już najlepsze rozwiązanie lub straciło ono ważność.
1 0
werner2010 11.5.2020 (18:45)
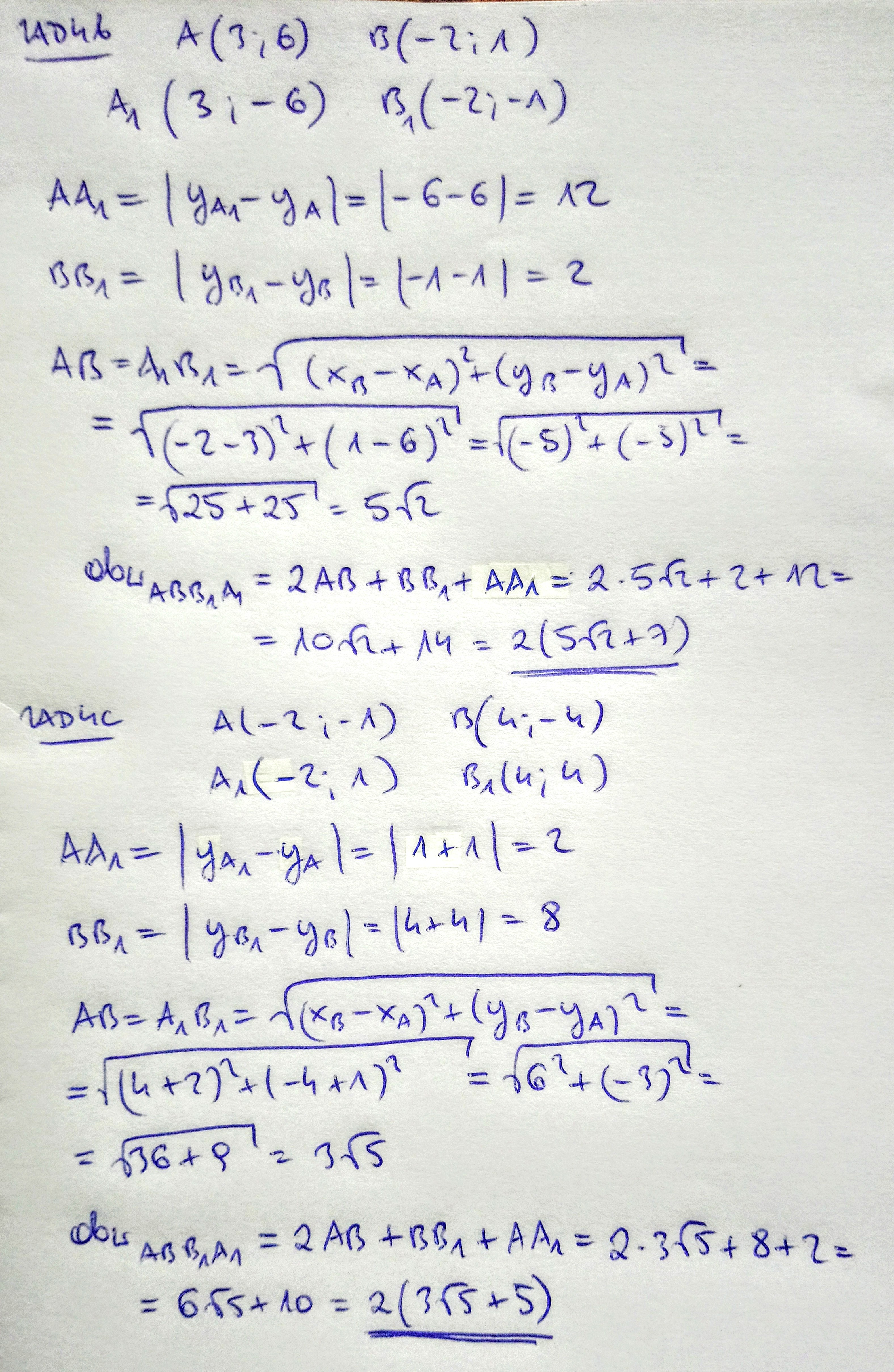
Rozwiązanie na zdjęciach
Dodawanie komentarzy zablokowane - Zgłoś nadużycie
0 odpowiada - 0 ogląda - 1 rozwiązań
Zobacz więcej opcji
1 0
werner2010 11.5.2020 (18:45)
Rozwiązanie na zdjęciach
Załączniki
Dodawanie komentarzy zablokowane - Zgłoś nadużycie