Treść zadania

dorota_g23

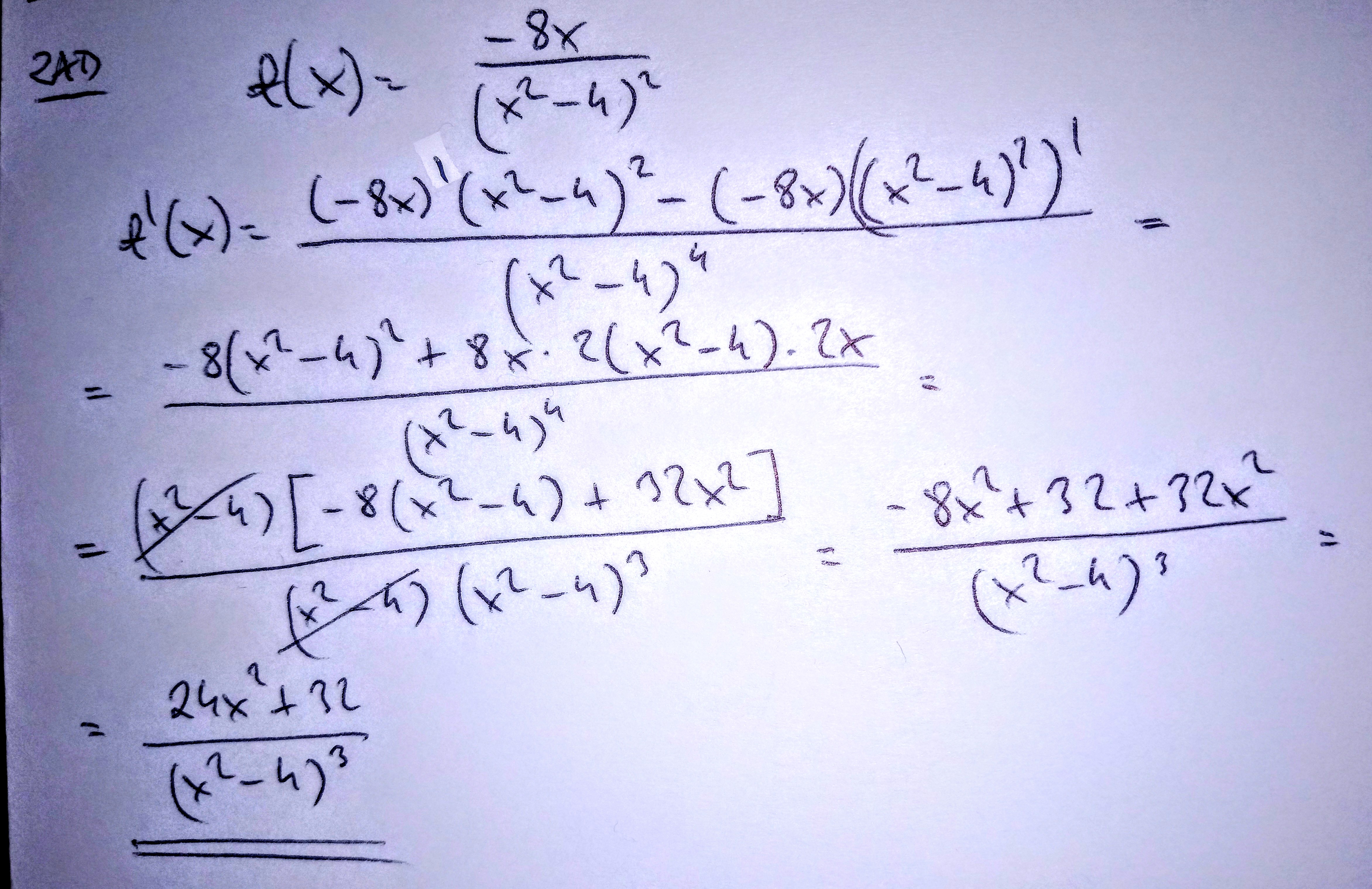
Oblicz pochodną f(x)=-8x/(x^2-4)^2

Zadanie jest zamknięte. Autor zadania wybrał już najlepsze rozwiązanie lub straciło ono ważność.

Najlepsze rozwiązanie

Rozwiązania

Podobne zadania

hrr Oblicz wartość kapitału rentowego, który złożony na procent składany, Przedmiot: Matematyka / Studia 2 rozwiązania autor: hrr 21.4.2010 (20:39)
bombel oblicz pole wielokąta a=16,6 b=1,22 c=25,8 d=3,46 e=21,55 Przedmiot: Matematyka / Studia 2 rozwiązania autor: bombel 28.4.2010 (15:29)
Sobczyk15 Oblicz całkę Przedmiot: Matematyka / Studia 1 rozwiązanie autor: Sobczyk15 11.9.2010 (16:00)
magda-luniewska oblicz, ile wynosi 1 500 100 900 do liczby PI. Przedmiot: Matematyka / Studia 2 rozwiązania autor: magda-luniewska 12.10.2010 (15:40)
muzyka11 oblicz pole kwadratu którego bok jest o 3 krótszy od przekątnej Przedmiot: Matematyka / Studia 2 rozwiązania autor: muzyka11 26.10.2010 (12:55)

Podobne materiały

Przydatność 60% Pochodne

Pochodne niektórych funkcji Pochodna funkcji złożonej Pochodne funkcji trygonometrycznych praca w załączniku

Przydatność 65% Oblicze Ojczyzny

(praca z 1 klasy gima) słowa w wierszu "*** (oblicze ojczyzny)" Tadeusza Różewicza "na początku ojczyzna jest blisko, na wyciągnięcie ręki" oznaczają, że gdy jesteśmy jeszcze mali ojczyzna to rodzice, koledzy i koleżanki, to nasz dom, nasze podwórko. ważniejsze jest wtedy dla nas to, że koleżance zaginął kot, a nie że wielu ludzi nie ma pracy i nie ma za co wyżywić...

Przydatność 65% Pochodne weglowodorów

ALKOHOLE- związki chem. (pochodne węglowodorów), w których atom wodoru jest zastąpiony grupą węglowodorową OH. Grupa ta nazywa się też grupą funkcyjną. WŁAŚCIWOŚCI: -bezbarwne -o ostrym zapachu -lotne -rozpusatwolne w wodzie -łnie palne -są rozpuszczalnikami niektórych związków organicznych -ścinają białko nie wykazują właściwości kwasowych ani zasadowych....

Przydatność 100% Wielkofunkcyjne pochodne

Aldozy–zawieraja gr. aldechydowa CHO Ketozy–zawieraja gr. Ketonową CO Właściwość Glukozy: Substancja stała, bezbarwna, krystaliczna Dobrze rozpuszcza się w wodzie, słodki smak, reaguje z Cu(OH)2 a szafirowe zabarwienie swiadczy o obecnosci gr. Hydroksylowych, redukuje miedz ze stanu II do I, pomaranczowy osad tlenku miedzi Cu2O wytrącony w reakcji glukozy z Cu(OH)2 wykazuje...

Przydatność 60% Pochodne węglowodorów

Alkohole 1. wzór ogólny CnH2n+1-OH 2. nazwa do węglowodoru dodaje się końcówkę – ol 3. otrzymywanie: metanol: • sucha destylacja drewna • z gazu syntezowego: CO+2H2 -> CH3OH etanol: • reakcja przyłączania wody do alkenu: C2H4+H2O->C2H5OH • fermentacja alkoholowa: C6H12O6->2C2H5OH+2CO2 4. Właściwości fizyczne: • substancje ciekłe • najczęściej...

0 odpowiada - 0 ogląda - 1 rozwiązań

Dodaj zadanie

Zobacz więcej opcji