Treść zadania

~Klaudia

Wykonaj działania
A) 1/x do 2+2x - 2/x do 2 -4
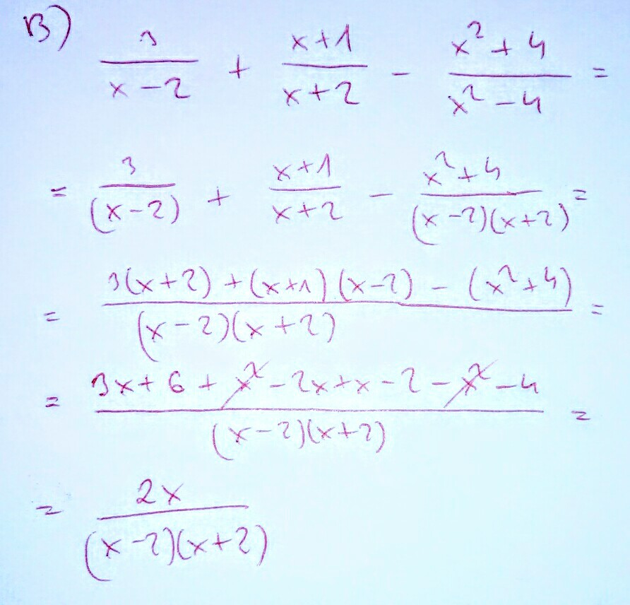
B) 3/x-2 + x+1/x+2 - x do 2 +4/x do 2-4

Zgłoś nadużycie

Komentarze do zadania

Zaloguj się lub załóź konto aby dodać komentarz.

  • Użyj proszę nawiasów i znaczka ^ jako "do potęgi"
    (np: x^2 to "x do kwadratu), bo nie jestem pewny, czy zapis: 2/x do 2
    ma oznaczać: 2 / x^2 czy (2 / x)^2 ??? Czy jeszcze coś innego ?

Rozwiąż to zadanie i zarób nawet 14 punktów. 2 za rozwiązanie zadania, 10 gdy Twoja odpowiedź zostanie uznana jako najlepsza.

Rozwiązania

Podobne zadania

ewkaa644 Wykonaj podane działania. Przedmiot: Matematyka / Liceum 3 rozwiązania autor: ewkaa644 11.8.2010 (16:46)
ewkaa644 Wykonaj podane działania. Przedmiot: Matematyka / Liceum 3 rozwiązania autor: ewkaa644 11.8.2010 (20:44)
ewkaa644 wykonaj poniższe działanie. Przedmiot: Matematyka / Liceum 3 rozwiązania autor: ewkaa644 11.8.2010 (21:26)
ewkaa644 Wykonaj dzialania: Przedmiot: Matematyka / Liceum 2 rozwiązania autor: ewkaa644 25.8.2010 (17:49)
Weraaa32 Wykonaj podane działania. Przedmiot: Matematyka / Liceum 1 rozwiązanie autor: Weraaa32 12.9.2010 (16:56)

Podobne materiały

Przydatność 60% Wykonaj opis sytuacji będąc Jagienką - polowanie na niedźwiedzia.

Jest późne popołudnie. Wchodzę do lasu, gdyż wiem, że gdzieś tutaj jest sam Zbyszko. Mam zamiar pomóc w polowaniu na niedźwiedzia. W lesie panuje dziwna atmosfera, trudno ją określić. Moja stopa, którą stawiam na ziemi, łamie coś co przypomina zwierzęcą kość. Słońce zaczyna zachodzić, gdyż robi się czerwone. Nad moją głową latają kruki, które kraczą złowieszczo....

Przydatność 50% Wykonaj gazetke z wydarzeniami z lat 1918 do 1939 - referat

Wszystko zamieszczone w zalacznikach na poczatku jako pierwsza str powinien isc dok. o tyt. okladka, potem strona z trescia, nastepnie gazeta coroczna (oczywiscie tytul gazety jest inny) i na koncu dok o tyt. zdjecia na referat hist

Przydatność 80% Wykonaj zestawienie dochodów i wydatków swojej gminy(miasta)

Podobnie jak każde gospodarstwo domowe, tak i Miasto Gdynia wydaje pieniądze na różne cele. W gospodarstwie domowym wydajemy pieniądze według reguł, które sami ustalamy i oczywiście w zależności od posiadanych środków. Z reguły najwięcej przeznaczamy na życie, czyli na żywność i bieżące opłaty tj. czynsz, energię, telefon, abonament radiowo-telewizyjny, ubezpieczenie,...

0 odpowiada - 0 ogląda - 1 rozwiązań

Dodaj zadanie

Zobacz więcej opcji