Treść zadania
Autor: wandos Dodano: 11.11.2017 (10:27)
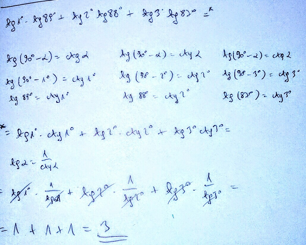
Tg 1°·tg 89°+tg 2°·tg 88°+ tg 3°·tg 87 =
sin 17°·cos 73°+cos 17°·sin 73°=
Rozwiąż to zadanie i zarób nawet 14 punktów. 2 za rozwiązanie zadania, 10 gdy Twoja odpowiedź zostanie uznana jako najlepsza.
Rozwiązania
0 odpowiada - 0 ogląda - 1 rozwiązań
1 0
werner2010 13.11.2017 (12:54)
Rozwiązania na zdjęciach
Załączniki
Dodaj komentarz - Zgłoś nadużycie