Zadanie jest zamknięte. Autor zadania wybrał już najlepsze rozwiązanie lub straciło ono ważność.
Najlepsze rozwiązanie
Rozwiązania
Podobne zadania
|
|
1 rozwiązanie | autor: MrAnulka 13.5.2010 (22:05) |
|
|
1 rozwiązanie | autor: tedy123456789 18.5.2010 (18:56) |
|
|
1 rozwiązanie | autor: anet791 26.5.2010 (22:08) |
|
|
1 rozwiązanie | autor: Greg01 26.5.2010 (22:31) |
|
|
1 rozwiązanie | autor: Greg01 28.5.2010 (18:56) |
Podobne materiały
Przydatność 55% Pierwiastki
WĘGIEL: 4 e walencyjne (6C), najcz jest 4 wart, wyst w 2 odmianach izotopowych C12 i C13, wyst w 2 postaciach: diament (nie przew prądu), grafit (przew prąd), wyst w stopniach utlenienia: -4 (CO2), 4 (CH4), CO-tl węgla (czad). CO2 otrzymujemy w reakcji węglanów z kwasem solnym. AZOT: właściwości: bezbarwny, bezwonny, słabo rozp w H2O, stężenie w powietrzu – 78%, 5 e walencyjne...
Przydatność 50% Pierwiastki
Pełne opisy każdego z pierwiastków znajdujących się w Tablicy Mendelejewa
Przydatność 65% Pierwiastki
(Ac) aktyn ? (Am) ameryk ? (Sb) antymon ? (Ar) argon ? (As) arsen ? (At) astat ? (N) azot ? (Ba) bar ? (Bk) berkel ? (Be) beryl ? (Bi) bizmut ? (Bh) bohr ? (B) bor ? (Br) brom ? (Ce) cer ? (Cs) cez ? (Cl) chlor ? (Cr) chrom ? (Sn) cyna ? (Zn) cynk ? (Zr) cyrkon ? (Ds) darmsztadt ? (Db) dubn ? (Dy) dysproz ? (Es) einstein ? (Er) erb ? (Eu) europ ? (Fm) ferm ? (F) fluor ? (P) fosfor ? (Fr) frans...
Przydatność 65% Pierwiastki śmierci
Pierwiastki śmierci. Mianem pierwiastków śmierci nazywa się kilkanaście pierwiastków występujących w przyrodzie, które wpływają na organizm człowieka negatywnie a bardzo często nawet zabójczo. Pierwiastkami śmierci są przede wszystkim metale ciężkie, uznawane obecnie za zbędne a często toksyczne. Wprowadzone jednorazowo, a także w małych dawkach przez dłuższy czas,...
Przydatność 65% Pierwiastki Radioaktywne
Pierwiastki chemiczne, których wszystkie izotopy są promieniotwórcze. Są to: technet (symbol Tc) o liczbie atomowej Z=43, promet (symbol Pm) o liczbie atomowej Z=61, polon (symbol Po) o liczbie atomowej Z=84 oraz wszystkie pierwiastki położone w układzie okresowym za polonem. Pierwiastki promieniotwórcze położone za uranem noszą nazwę pierwiastków transuranowych lub transuranów,...
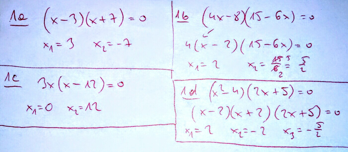
0 odpowiada - 0 ogląda - 1 rozwiązań
2 0
werner2010 29.10.2017 (17:51)
Rozwiązanie na zdjęciu
Załączniki
Dodawanie komentarzy zablokowane - Zgłoś nadużycie
sama 29.10.2017 (18:11)
Dziękuję