Treść zadania

ja11

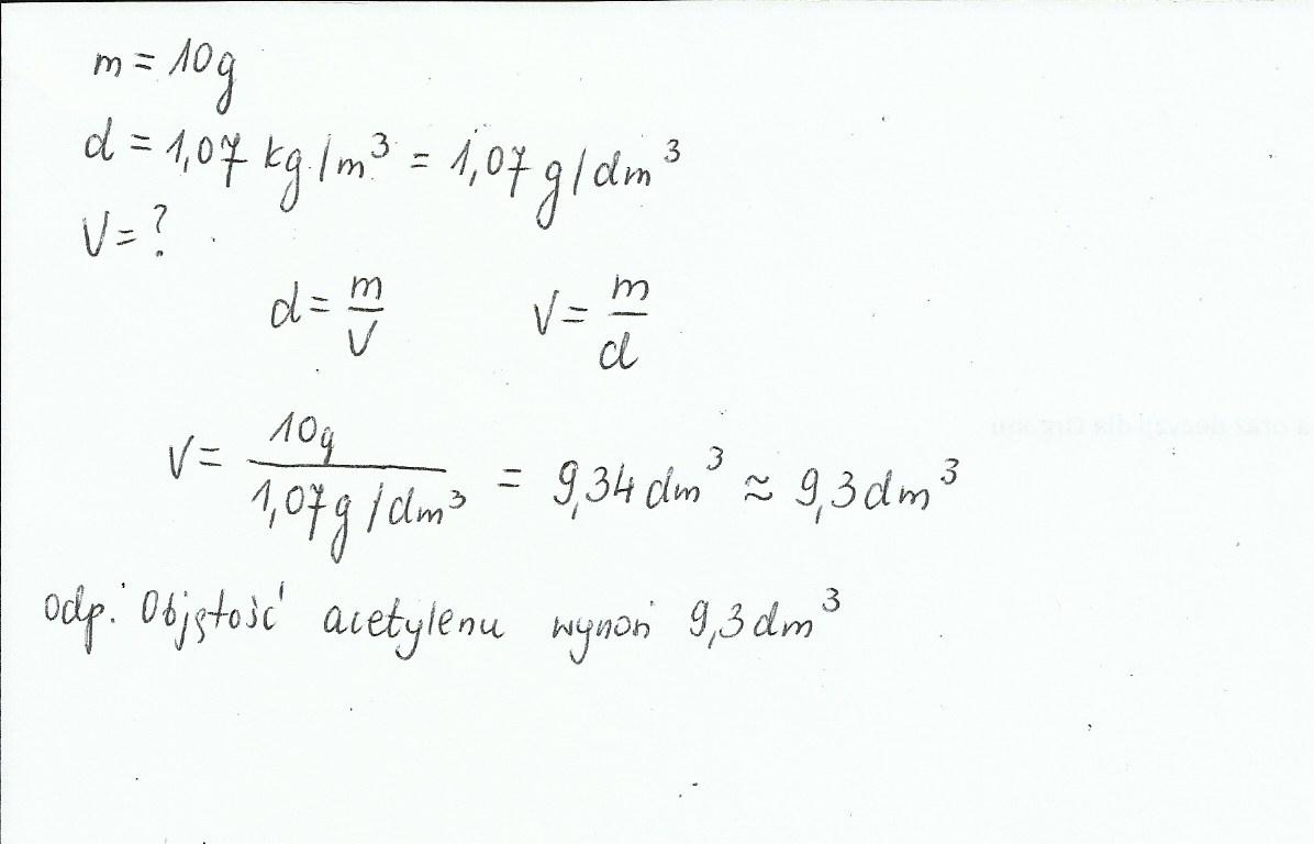
Oblicz objętość , jaką zajmuje 10g acetylenu w temperaturze 25 stopni c i pod ciśnieniem 1013 hPa , jeśli gęstość tego gazu w opisanych warunkach wynosi d acetylenu =1.07 kg/m3 . wynik podaj w decymetrach sześciennych z dokładnością do jednego miejsca po przecinku

Zgłoś nadużycie

Komentarze do zadania

Zaloguj się lub załóź konto aby dodać komentarz.

Rozwiąż to zadanie i zarób nawet 14 punktów. 2 za rozwiązanie zadania, 10 gdy Twoja odpowiedź zostanie uznana jako najlepsza.

Rozwiązania

Podobne zadania

Gruby13Gangsta zadanie 1: Przygotowano nasycony roztwór cukru o temperaturze 50"C Przedmiot: Chemia / Gimnazjum 1 rozwiązanie autor: Gruby13Gangsta 29.3.2010 (19:17)
monikak6 Oblicz wartościowość pierwiastków w następujących kwasach i podaj nazwy Przedmiot: Chemia / Gimnazjum 2 rozwiązania autor: monikak6 6.4.2010 (17:03)
kasiuniakkkk oblicz Przedmiot: Chemia / Gimnazjum 1 rozwiązanie autor: kasiuniakkkk 13.4.2010 (17:31)
wojtipele1 Oblicz, z ilu atomów słada się cząsteczka siarki o masie cząsteczkowej 256 Przedmiot: Chemia / Gimnazjum 1 rozwiązanie autor: wojtipele1 17.4.2010 (09:43)
angela22 oblicz ile gramów substancji należy rozpuścić w 360g wody aby otrzymać Przedmiot: Chemia / Gimnazjum 2 rozwiązania autor: angela22 17.4.2010 (15:59)

Podobne materiały

Przydatność 55% Stopnie Wojskowe

Przełożonym w wojsku,jest osoba zajmująca wyższe stanowisko bez względu na stopień wojskowy. Starszym jest który ma wyższy stopień wojskowy. Korpus szeregowy -szeregowy -starszy szeregowy Korpus Podoficerski -kapral } -starszy kapral }podoficerowie mlodsi -plutonowy } -sierżant ] -starszy sierżant ] podoficerowie starsi...

Przydatność 80% Stopnie wojskowe

Stopnie wojskowe w załączniku!

Przydatność 65% Oblicze Ojczyzny

(praca z 1 klasy gima) słowa w wierszu "*** (oblicze ojczyzny)" Tadeusza Różewicza "na początku ojczyzna jest blisko, na wyciągnięcie ręki" oznaczają, że gdy jesteśmy jeszcze mali ojczyzna to rodzice, koledzy i koleżanki, to nasz dom, nasze podwórko. ważniejsze jest wtedy dla nas to, że koleżance zaginął kot, a nie że wielu ludzi nie ma pracy i nie ma za co wyżywić...

Przydatność 70% Reguły ustalania stopni utlenienia

1. Pierwiastki w stanie wolnym występują na zerowym stopniu utlenienia. (0) 2. Metale w związkach chemicznym występują zawsze na dodatnim stopniu utlenienia, zgodnym z wartościowością. 3. Fluor w związkach chemicznych występuje zawsze na -I stopniu utlenienia. 4. Wodór najczęściej występuje na +I stopniu utlenienia. Wyjątek stanowią wodorki metali, gdzie występuje na...

Przydatność 75% Geografia zajmuje się

1.Geografia jest nauką opisującą świat, w którym żyjemy. Zajmuje się badaniem oraz opisywaniem przestrzennego, zróżnicowanie naszej planety. Dotyczy ono zarówno względów przyrodniczych, jak i społeczno-gospodarczych. Dwie podstawowe dziedziny nauk geograficznych to geografia fizyczna oraz społeczno-ekonomiczna. 2. Najdłuższa rzeka (w km) : Azja – Jangcy(6300 ) Afryka –...

0 odpowiada - 0 ogląda - 1 rozwiązań

Dodaj zadanie

Zobacz więcej opcji