Treść zadania

sama

Zadanie 4 i 12 .Proszę o pomoc .

Załączniki do zadania

Zadanie jest zamknięte. Autor zadania wybrał już najlepsze rozwiązanie lub straciło ono ważność.

Najlepsze rozwiązanie

  • 1 0

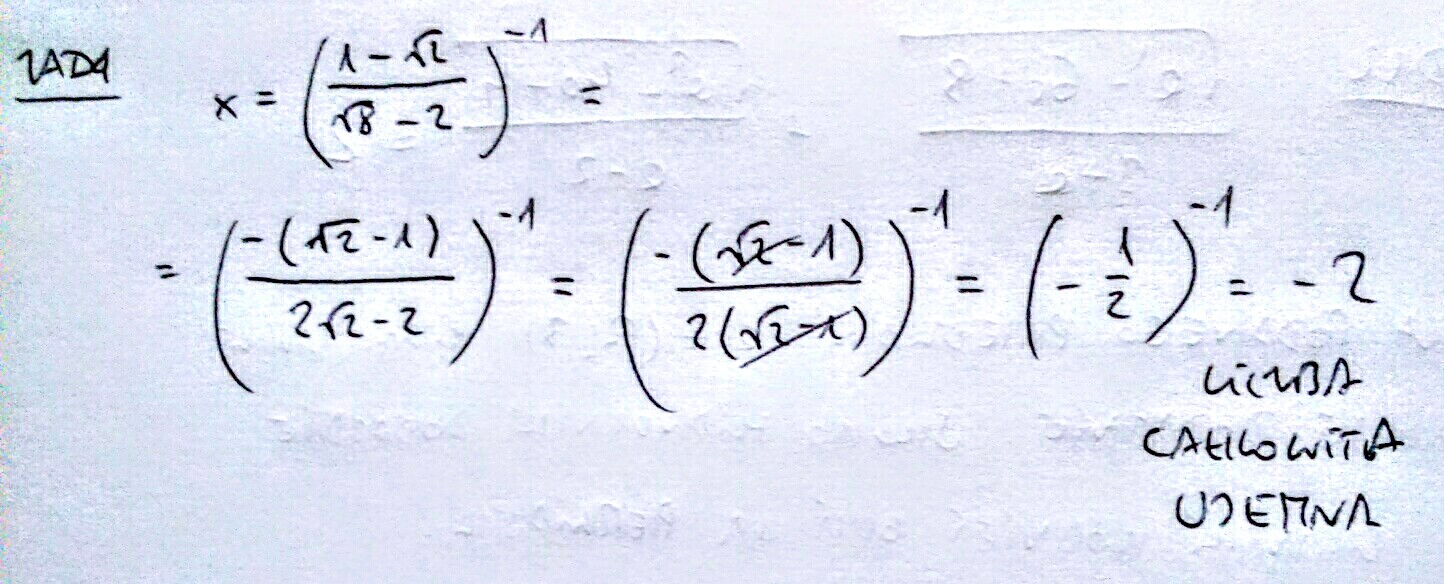
    Zadanie 4.
    Idea dowodu jest taka: "spróbujmy pozbyć się pierwiastków".

    Zauważ, że pierwiastek(8) = pierwiastek(4 * 2) = 2 * pierwiastek(2)
    Mianownik można więc zapisać jako:

    pierwiastek(8) - 2 = 2 * pierwiastek(2) - 2 = 2 * [ pierwiastek(2) -1 ]

    To, co w nawiasach [ ... ] jest identyczne z licznikiem, tylko z przeciwnym znakiem.
    Wobec tego skróci się, i zostanie minus 1.
    Całe wyrażenie ma teraz postać:

    [ (-1) / 2 ] ^ (-1)

    Potęga "-1" z czegoś to jest ODWROTNOŚĆ tego czegoś, więc całość to:

    [ 2 / (-1) ] ^1 = - 2. Al liczba minus 2 jest znakomicie liczbą całkowitą.
    ------------------

    Masz te przekształcenia raz jeszcze w trochę innej formie:

    { [ 1 - pierwiastek(2) ] / [ pierwiastek(8) - 2 ] } ^ (-1) =
    = [ pierwiastek(8) - 2 ] / [ 1 - pierwiastek(2) ] =
    = 2 * [ pierwiastek(2) - 1 ] / [ 1 - pierwiastek(2) ] =
    = 2 * (-1) = - 2
    =====================================

    Zadanie 8.
    Oba wyrażenia pod pierwiastkami są PEŁNYMI KWADRATAMI, czyli:

    a^2 - 6a + 9 = (a - 3)^2 ; oraz
    a^2 - 4a + 4 = (a - 2)^2

    Teraz WAŻNY jest przedział : a należy do (2;3).
    Jest on on otwarty z oby stron, czyli liczby 2 i 3 NIE należą to tego przedziału.

    W pierwszym ułamku w liczniku jest pierwiastek [ (a - 3)^2 ] = | a - 3 |
    Jest to liczba DODATNIA, bo mamy wartość bezwzględną | a - 3 |

    W mianowniku liczba 3 - a też jest dodatnia, właśnie dlatego, że a należy do (2, 3)
    wobec tego licznik skraca się z mianownikiem, dając 1.
    --------------

    W drugim ułamku, przez analogiczne rozumowanie, mamy:
    [ pierwiastek [ (a - 2)^2 ] / (a - 2) = | a - 2 | / (a - 2) = 1

    Suma 1 + 1 = 2


    To rozumowanie jest prawdziwe TYLKO dla przedziału "a" należy do (2; 3).
    Zresztą zobacz wykres w załączniku. Dla "a" poza tym przedziałem wynik jest zerem.
    =========================

    Przepraszam za fizykę !
    Antek

    =====================================

    Załączniki

    • Jeszcze do zadania 4:
      Liczniki są zawsze dodatnie
      Jeśli a < 2 to drugi ułamek = -1, pierwszy ułamek = 1,
      całość daje zero.
      Jeśli a > 3 to drugi ułamek daje +1, pierwszy -1
      i znów całość = 0

      Dlatego taki jest wykres. WAŻNY jest przedział (2; 3),
      dlatego tak go "podkreślam".

      Dziękuję, że mi wybaczyłaś to moje wstrętne zachowanie z zadaniem z fizyki.
      Chylę głowę i gryzłbym się w wąsy, ale nie mam.

    • Dziękuję bardzo za pomoc. Nie ma za co przepraszać ;)))

Rozwiązania

Podobne zadania

hmm Badanie trójmianu kwadratowego - zadanie optymalizacyjne. Przedmiot: Matematyka / Liceum 1 rozwiązanie autor: hmm 29.3.2010 (18:21)
lestat919 zadanie - promień okręgu Przedmiot: Matematyka / Liceum 1 rozwiązanie autor: lestat919 6.4.2010 (18:17)
mania1408-k1 proszę o pomoc zadania na jutro. Przedmiot: Matematyka / Liceum 2 rozwiązania autor: mania1408-k1 13.4.2010 (16:43)
mania1408-k1 proszę o pomoc zadania na jutro. Przedmiot: Matematyka / Liceum 1 rozwiązanie autor: mania1408-k1 13.4.2010 (16:49)
bombecka88 Zadanie matematyka pomocy Przedmiot: Matematyka / Liceum 1 rozwiązanie autor: bombecka88 14.4.2010 (11:45)

Podobne materiały

Przydatność 80% Pierwsza pomoc - pomoc przedmedyczna

Pierwsza Pomoc Przedmedyczna Pierwsza pomoc przedmedyczna to czynności ratownika (osoby udzielającej pierwszą pomoc) prowadzące do zabezpieczenia i utrzymania przy życiu osoby poszkodowanej, do czasu przyjazdu wykwalifikowanych służb. Etapy pierwszej pomocy 1. ocena sytuacji 2. zabezpieczenie miejsca zdarzenia 3. ocena stanu poszkodowanego 4. wezwanie pomocy - 999 ? Pogotowie...

Przydatność 55% Analiza Finansowa- zadanie

praca w załącznikach

Przydatność 80% Zadanie z fizy

1.46 Z ciała o masie m1= 11000kg następuje strzał w kierunku poziomym. Masa pocisku wynosi m2= 54kg. Oblicz prędkość, z jaką działo zostaje odrzucone wstecz, jeśli prędkość pocisku wynosi v2= 900 m/s. m1= 11000 kg m2= 54 kg v1 = ? v2 = 900 m/s Po = Pk Po=(m1+m2)* V V= 0 – na początku działo jest w spoczynku 0=m2*v2 – m1*v1 m1*v1 = m2*v2 v1=...

Przydatność 75% Zadanie inspektora BHP

JAK ROZUMIESZ ROLE I ZADANIA INSPEKTORA BHP W TWOIM ZAKŁADZNIE Inspektor BHP w zakładzie pracy pełni role doradcze i kontrolne. Podstawowym zadaniem pełniącej role BHP w zakładzi jest okresowa analiza stanu bezpieczeństwa i higieny pracy. Inspektor slużby BHP jest zobowiązany do sporządzenia i przedstawiania pracodawcy co najmniej raz w roku okresowych analiz stanu...

Przydatność 90% Zadanie z weryfikacji hipotez

Ustalono na podstawie analizy kosztów, że będzie się opłacać się wybudowanie motelu przy trasie komunikacyjnej, jeśli będzie przejeżdżać tą trasą więcej niż 800 samochodów dziennie. W losowe wybrane dni roku liczono ilość przejeżdżających samochodów. Otrzymano następujące rezultaty: 792, 810, 820, 886, 910, 840, 1025, 790, 972, 830, 810, 780, 815, 954, 810, 930, 820. Na...

0 odpowiada - 0 ogląda - 2 rozwiązań

Dodaj zadanie

Zobacz więcej opcji