Treść zadania

~Ktosiek

1. W ciągu geometrycznym mamy a1=-1/3 oraz q=2. Oblicz wyraz a6 o S6.
2. Liczby ×-1,2×-4,8 w podanej kolejności są pierwszym drugim i trzecim wyrazem ciagu artystycznego. Znajdź z.
3.wyznacz wzór ogólny ciagu artystycznego w którym wyraz piąty jest równy 10 zaś wyraz dziesiąty jest równy 5.
4.wykaz ze ciąg o wzorze ogólnym an=5n-1 jest ciągiem autentycznym.
5. Liczby x-1,2,×-4 tworzą w podanej kolejności ciąg geometrycznym malejący wyznacz x.
6. Między liczby -2 i -32 wstaw trzy tak aby wyraz z danymi tworzył ciąg geometryczny
7. Między liczby 6 i 42 wstaw pięć tak aby wyraz z danymi tworzył ciąg arytmetyzczny.
8. Napisz rowanie prostej przechodzącej przez punkty punkt o współrzędnych A (-2,6)B (1,0)
9.napisz równanie symetralnej odcinka AB jeśli A (1,2)I B (-1,0)
10.naoisz równanie prostej równoległej do prostej y=2x+1 przechodzącej przez punkt P (-1,3)
11.napisz rowanie okręgu o środku punkcie S (-3,1)I promieniu 5.
12. W trapezu prostokątnym krótsza przekątna dzieli go na trójkąt prostokątny i trójkąt rownoboczny. Dłuższa podstawa trapezu na długość 4. Oblicz pole tego trapezu.
13. Dana jest funkcja f (x)=-×2+6×-5 a) zapisz wzór funkcji w postacie kanonicznej i iloczynowej b)naszkicuj wykres funkcji c)podaj zbil wartości funkcji d)określ dla jakich argumentów funkcja przyjmuje wartości ujemne.
14. Dane sa wielomiany W (x)=4×2-2×+1 I P (×)=×3-5×2+4×-2 znajdź wielomian xW (x)-P (×).
15. Dany jest wielomian W (×)=×3+3×2-3×-1 sprawdź nie wykonując dzielenia czy wielomian W(x) jest podzielony przez ×-1.
16. Dla jakiej wartości parametru a b c wielomiany W(×)=3×4+(2a+1)×3-cx+3 I P(×)=3×4+9×3+(b+2)×2+3 są równe.
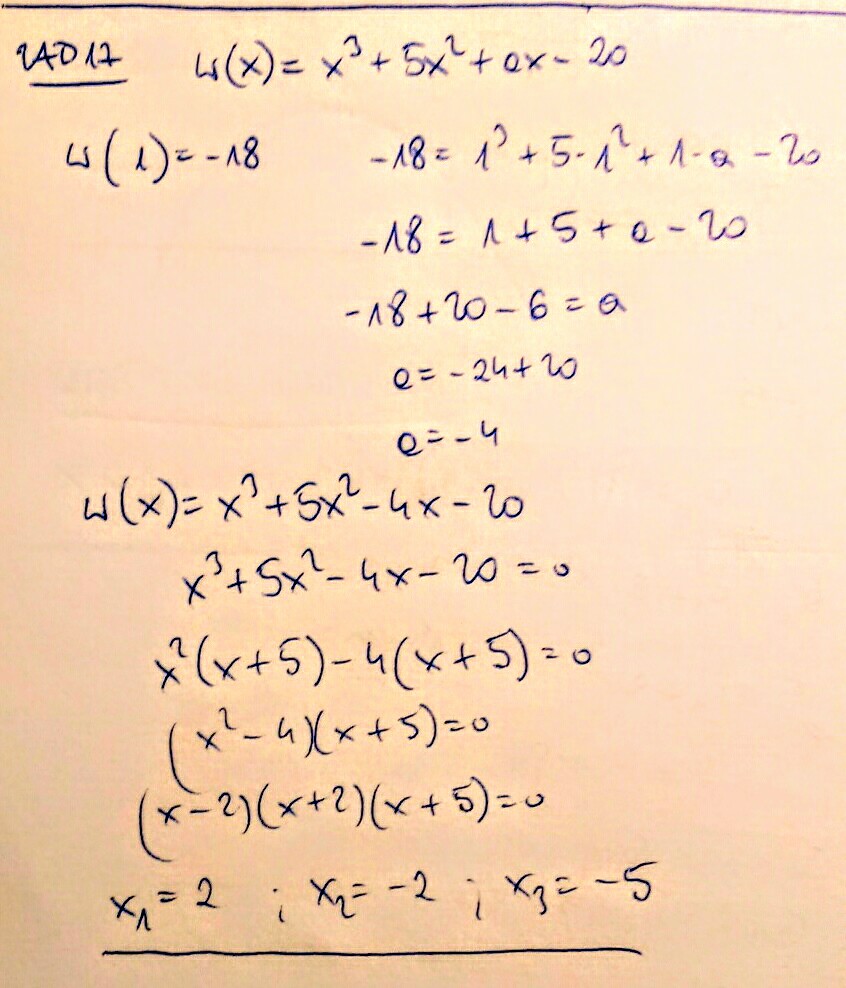
17.dany jest wielomian w (×)=×3+5×2+ax-20 a) wyznacz taka wartość a dla której w (1) =-18 b ) dla wyznaczonej wartości a znajdź pierwiastek wielomianu.

Zgłoś nadużycie

Komentarze do zadania

Zaloguj się lub załóź konto aby dodać komentarz.

  • Dobrze się , człowieku , czujesz? Kto miałby tyle zadań jednym ciągiem rozwiązać?

Rozwiąż to zadanie i zarób nawet 14 punktów. 2 za rozwiązanie zadania, 10 gdy Twoja odpowiedź zostanie uznana jako najlepsza.

Rozwiązania

Podobne zadania

martusb93 oblicz: (tg30-ctg30)/cos30 Przedmiot: Matematyka / Liceum 2 rozwiązania autor: martusb93 29.3.2010 (18:20)
olo oblicz objętość i pole powierzchni stożka o promieniu podstawy r,jeżeli Przedmiot: Matematyka / Liceum 1 rozwiązanie autor: olo 30.3.2010 (18:23)
angelika1990 1)Dane są wielomiany Oblicz W(x)=x³-2x+1 W(x)+Q(x) Q(x)=-x³+3x Przedmiot: Matematyka / Liceum 1 rozwiązanie autor: angelika1990 8.4.2010 (18:05)
kotek93 oblicz miary kątów trójkąta równoramiennego, w którym: a)kąt przy Przedmiot: Matematyka / Liceum 1 rozwiązanie autor: kotek93 12.4.2010 (17:04)
gumis Oblicz długość boku trójkąta równobocznego, którego wysokość ma Przedmiot: Matematyka / Liceum 1 rozwiązanie autor: gumis 12.4.2010 (18:37)

Podobne materiały

Przydatność 65% Oblicze Ojczyzny

(praca z 1 klasy gima) słowa w wierszu "*** (oblicze ojczyzny)" Tadeusza Różewicza "na początku ojczyzna jest blisko, na wyciągnięcie ręki" oznaczają, że gdy jesteśmy jeszcze mali ojczyzna to rodzice, koledzy i koleżanki, to nasz dom, nasze podwórko. ważniejsze jest wtedy dla nas to, że koleżance zaginął kot, a nie że wielu ludzi nie ma pracy i nie ma za co wyżywić...

Przydatność 55% wiersz Oblicze ojczyzny

Czytając wiersz Tadeusz Różewicza pt.Oblicze ojczyzny odnoszę wrażenie,iż poeta miał szczęśliwe dzieciństwo,chociaż lata w których przyszło mu dorastać nie należały do spokojnych.Wojna i okupacja nie zatarły jednak beztroskich i pełnych ciepłych barw wspomnień poety. Kiedy jest się dzieckiem,całym światem są najbliżsi: mama,tata i...

Przydatność 65% Drugie oblicze opalania

Praca w załączniku

Przydatność 75% Charakterystyka mamy

Moja mama ma na imię Ania. Ma 41 lat i od urodzenia mieszka w Warszawie. Mama ukończyła studia o kierunku pedagogicznym i pracuje w szkole podstawowej, w charakterze pedagoga szkolnego. Mama ma szczupłą sylwetkę i jest średniego wzrostu. Ma drobną twarz, ciemną oprawę oczu i ciemne włosy, które zawsze upina w charakterystyczny kok. Choć jest bardzo wesoła wyraz twarzy ma raczej...

Przydatność 50% Charakterystyka mamy

Mama ma na imie ......... Ma ... lat i od urodzenia mieszka w ............ Ma ..... dzieci. Jest ....... średniego wzrostu. Ma drobną twarz i ........ oczy. Ma .......... włosy. Mama jest miła. Jest pomocna, ponieważ gdy mamy jakiś problem, zawsze nam pomaga i bez względu na sytuację potrafi wytłumaczyć. Mamy pierwsza odpowiedź jest ostateczną, co oznacza, że...

0 odpowiada - 0 ogląda - 1 rozwiązań

Dodaj zadanie

Zobacz więcej opcji