Treść zadania

Eko140

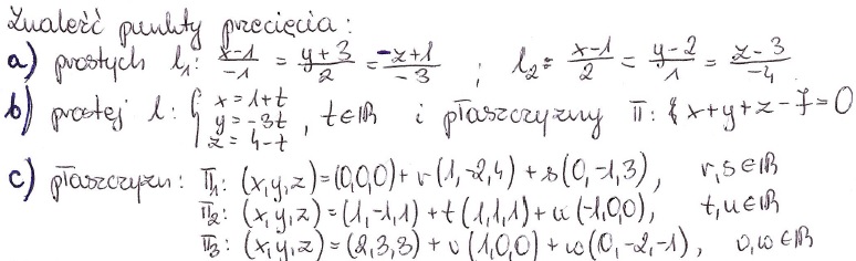
Polecenie w załączniku. Proszę o pomoc Jeśli ktoś nie wie jak zrobić całe zadanie to będę również wdzięczny za pojedyncze podpunkty.

Załączniki do zadania

Zgłoś nadużycie

Komentarze do zadania

Zaloguj się lub załóź konto aby dodać komentarz.

Rozwiąż to zadanie i zarób nawet 16 punktów. 2 za rozwiązanie zadania, 12 gdy Twoja odpowiedź zostanie uznana jako najlepsza.

Rozwiązania

  • antekL1

    Zadanie 2.
    a)
    Używając podanych równań prostych możemy wyrazić współrzędne y, z przez x.
    Prosta L1:
    (x - 1) / (-1) = (y + 3) / 2 ; stąd y = -2x - 1
    (x - 1) / (-1) = (-z + 1) / (-3) ; stąd z = -3x + 4
    Prosta L2:
    (x - 1) / 2 = (y - 2) / 1; stąd y = x/2 + 3 / 2
    (x - 1) / 2 = (z - 3) / (-4); stąd z = -2x + 5

    Prosta L1 składa się więc z punktów o współrzędnych: (t, -2t -1, -3t + 4)
    Analogicznie prosta L2 to zbiór: (s, s/2 + 3/2, -2s + 5)

    Mamy równania prostych w postaci parametrycznej.
    Jeśli te proste się przecinają to układ równań:
    t = s
    -2t - 1 = s/2 + 3/2
    -3t + 4 = -2s + 5
    musi być liniowo zależny i mieć jedno rozwiązanie.
    Okazuje się, że ma i jest to s = t = -1.
    Podstawiamy x = -1, wyliczamy y = 1 oraz z = 7
    Szukany punkt to: (-1; 1, 7)
    =====================================================

    b)
    Wstawiamy x, y, z ze wzoru prostej do równania płaszczyzny:
    (1+t) + (-3t) + (4 - t) - 7 = 0; upraszczamy:
    3t + 2 = 0 ; stąd
    t = - 2 / 3
    Wstawiamy tą wartość do równań prostej:
    x = 1 - 2/3 = 1/3
    y = -3 * (-2/3) = 2
    z = 4 - (-2/3) = 14/3
    Szukany punkt to: (1/3; 2, 14/7)
    =====================================================

    c)
    Wymnażamy nawiasy i zapisujemy równania płaszczyzn jako
    P1: (x,y,z) = (r + s, -2r - s, 4r + 3s)
    P2: (x,y,z) = (1 + t - u, -1 + t, 1 + t)
    P3: (x,y,,z) = (2 + v, 3 - 2w, 3 - w)
    Porównujemy współrzędne P1 i P2. Mamy 3 równania:
    r + s = 1 + t - u
    2r - s = -1 + t
    4r + 3s = 1 + t
    Z tych równań wyliczamy r, s, u w zależności od t
    r = -2t + 1
    s = 3t - 1
    u = 3t
    Wstawiamy r, s, u do równań P1 i P2
    (x,y,z) = (1 - 2t, -1 + t, 1 + t)
    To, co wyszło, to parametryczne równanie prostej wzdłuż której przecinają się P1 i P2.

    Analogicznie postępujemy z płaszczyznami P2 i P3
    P2: (x,y,z) = (1 + t - u, -1 + t, 1 + t)
    P3: (x,y,z) = (2 + v, 3 - 2w, 3 - w)
    1 + t - u = 2 + v
    -1 + t = 3 - 2w
    1 + t = 3 - w
    Dwa ostatnie równania mają rozwiązanie ścisłe: t = 0, w = 2.
    Wstawiamy te wartości do równań płaszczyzn:
    P2: (x,y,z) = (1 - u, -1, 1)
    P3: (x,y,z) = (2 + v, -1, 1)
    Pierwsze współrzędne dają związek: 1 - u = 2 + v ; stąd v = - u - 1
    Równanie parametryczne prostej przecięcia P2 i P3 to:
    (x,y,z) = (1 - u, -1, 1)

    Punkt przecięcia płaszczyzn musi spełniać oba równania parametryczne czyli układ:
    1 + t - u = 1 - u
    -1 + t = -1
    1 + t = 1
    musi mieć rozwiązanie. Ma: t = u = 0
    Wstawiamy te wartości i mamy szukany punkt: (1, -1, 1)
    =====================================================

    W razie pytań pisz proszę na priv.

Podobne zadania

sznuras8 Pomoc przy zadaniach i sprawozdaniach Przedmiot: Matematyka / Studia 1 rozwiązanie autor: sznuras8 9.5.2010 (15:15)
apanaczi2 Proszę o pomoc....ocena efektywności inwestycji Przedmiot: Matematyka / Studia 1 rozwiązanie autor: apanaczi2 23.5.2010 (23:37)
Smakolyki 15*690-(-143)+657G*238-34:800:(-1)*1+999-(-5) = ??? prosze o pomoc jak to Przedmiot: Matematyka / Studia 1 rozwiązanie autor: Smakolyki 17.11.2010 (16:46)
kamilek8899 rozpisz 5,35+9,85= kto zrobi to dokladnie dam naj Przedmiot: Matematyka / Studia 1 rozwiązanie autor: kamilek8899 21.12.2010 (17:45)
zuzka5 Błagam o pomoc ,mam do zrobienia zadania ze ststystyki ,musze oddac to dopusci Przedmiot: Matematyka / Studia 1 rozwiązanie autor: zuzka5 6.1.2011 (18:28)

Podobne materiały

Przydatność 85% Polecenie i zapis w prawie spadkowym

Prawo spadkowe to zespół czynników regulujących losy majątku pozostawionego przez zmarłą osobę fizyczną. W szczególności prawo spadkowe reguluje przejście tego majątku, a więc praw i obowiązków majątkowych zmarłego, na inne osoby fizyczne i prawne. Prawo spadkowe odgrywa w stosunkach międzyludzkich bardzo istotną rolę. Wiąże ono majątkowo członków rodziny i osoby...

Przydatność 80% Pierwsza pomoc - pomoc przedmedyczna

Pierwsza Pomoc Przedmedyczna Pierwsza pomoc przedmedyczna to czynności ratownika (osoby udzielającej pierwszą pomoc) prowadzące do zabezpieczenia i utrzymania przy życiu osoby poszkodowanej, do czasu przyjazdu wykwalifikowanych służb. Etapy pierwszej pomocy 1. ocena sytuacji 2. zabezpieczenie miejsca zdarzenia 3. ocena stanu poszkodowanego 4. wezwanie pomocy - 999 ? Pogotowie...

Przydatność 70% Polecenie: Dokończ fragment "Balladyny" tak aby siostry się pogodziły.

\"ALINA - O! Nie zbliżaj się do mnie z takimi oczyma... Nie wiem... Ja się ciebie boję.\" wchodzi Kirkor i zatrzymuje Balladynę KIRKOR - Cóż ty robisz? Czy żeś oszalała? Na własną siostrę noża dobywać? Szedłem ja za wami, by zobaczyć, jak tam z malinami. Zauważyłem Alinkę, piękną jak...

Przydatność 50% Pierwsza pomoc

UDZIEANIE PIERWSZEJ POMOCY POSZKODOWANYM RANY Rany należą do najczęszczych uszkodzeń urazowych i w większości powstają w następstwie nieszczęśliwych wypadków. Niektóre zranienia wymagają natychmiastowego opatrzenia z uwagi na stan zagrożenia życia. Inne natomiast nie zagrażają życiu, wymagają jedynie doraźnej pomocy, co wcale nie znaczy, że można je lekceważyć....

Przydatność 55% Pierwsza pomoc

PIERWSZA POMOC TELEFONY ALARMOWE numer pogotowia ratunkowego: 999numer telefonu alarmowego telefonii komórkowej: 112 Wzywając pogotowie ratunkowe należy podać krótkie i konkretne informacje o stanie chorego. Powinny zawierać informacje takie jak:- krótki opis zdarzenia,- jaki czas minął od zdarzenia,- aktualny stan chorego: a) czy oddycha, b) czy ma tętno na tętnicy szyjnej,...

0 odpowiada - 0 ogląda - 1 rozwiązań

Dodaj zadanie

Zobacz więcej opcji