Zaliczaj.pl
Liceum » Matematyka
Dodaj do ulubionych Drukuj
Autor: agafa Dodano: 29.4.2017 (19:04)
Rozwiąż układ równań :)
Zgłoś nadużycie
Zadanie jest zamknięte. Autor zadania wybrał już najlepsze rozwiązanie lub straciło ono ważność.
3 0
werner2010 30.4.2017 (11:25)
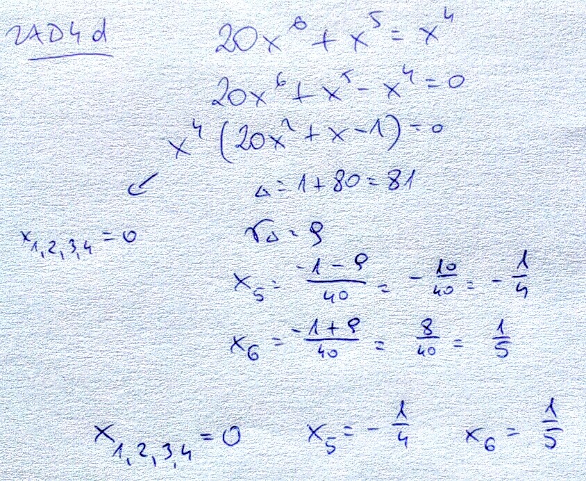
Rozwiązania na zdjęciach
Dodawanie komentarzy zablokowane - Zgłoś nadużycie
0 odpowiada - 0 ogląda - 1 rozwiązań
Zobacz więcej opcji
3 0
werner2010 30.4.2017 (11:25)
Rozwiązania na zdjęciach
Załączniki
Dodawanie komentarzy zablokowane - Zgłoś nadużycie