Komentarze do zadania
-
antekL1 19.4.2017 (13:27)
Wszystkie ??? Przecież te równania są w podręczniku lub w sieci !
GOOGLE !
Zadanie jest zamknięte. Autor zadania wybrał już najlepsze rozwiązanie lub straciło ono ważność.
Najlepsze rozwiązanie
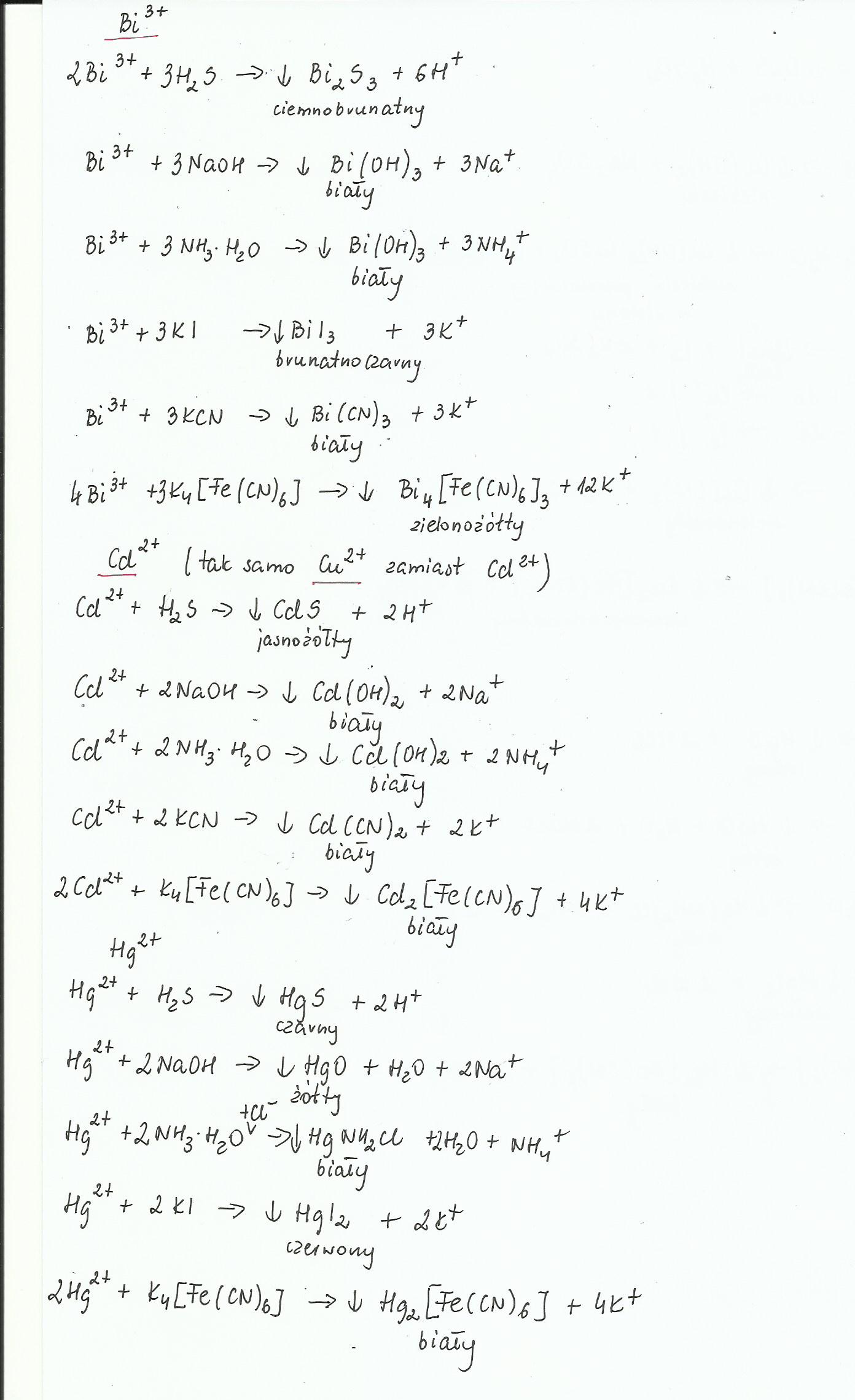
Rozwiązania
Podobne zadania
|
|
3 rozwiązania | autor: asienkaanml 30.3.2010 (15:10) |
|
|
2 rozwiązania | autor: asienkaanml 30.3.2010 (20:44) |
|
|
1 rozwiązanie | autor: maly7237 9.4.2010 (16:21) |
|
|
1 rozwiązanie | autor: onka46 16.4.2010 (07:59) |
|
|
1 rozwiązanie | autor: onka46 14.4.2010 (11:12) |
Podobne materiały
Przydatność 50% Napisz własny mit
Na górze kitajrońskiej, gdzie było słychać śpiewy nocne, odbywała się zabawa. Na niej Dionizos, demoniczny bóg płodnych sił natury, plonów i wina, otoczony swym orszakiem popijał wino. Bachantki, odwieczne towarzyszki Dionizosa, odziane były w powój, gałęzie dębu i jodły, umajone bluszczem. Na białe odzienie z wełny narzuciły pstrokate skóry zwierzęce. Przedzierały...
Przydatność 55% Napisz ballade romantyczną.
„Oni” Kto czuje śnieg na dłoni ? Kto słyszy w mroku tętent koni ? Kto nie opiera się narcyzów wonii ? To Oni ! Przykładają ręce do ludzkich skroni ! Przepełniają me serce – łzy z oczu ronię. Przeplatają puszczę w cieniu się chowając. Nie szepczą, gadają; Gdy widno na niebie – w kamienie się zmieniają. Czarny śnieg, czarny las – wtedy się...
Przydatność 75% Napisz list miłosny.
Kraków 09.07.2006r. Kochany Jacku! Jedynym powodem napisania tego listu przeze mnie jesteś Ty. Pragnę podziękować Ci za to, że dobrze wiedziałeś, co może mnie ucieszyć, za to, że umiałeś zakochać się jak ja. Dziękuję za radość, którą potrafiłeś we mnie obudzić… Dziękuję. Długo nie mogłam zebrać odwagi, aby do Ciebie napisać. Mój umysł przepełnia...
Przydatność 50% Napisz krótki tekst użytkowy.
Podczas pobytu w letniej szkole językowej w Anglii zgubiłeś torbę. Napisz ogłoszenie, które umieścisz na tablicy ogłoszeń: napisz gdzie prawdopodobnie ją zgubiłeś, opisz jej wygląd, podaj jej zawartość, zaznacz w jaki sposób można się z tobą skontaktować. Podpisz się jako XYZ. W zadaniu nie jest podany limit słów. LOST! Small, black, sport bag with three...
Przydatność 60% Napisz dłuższy tekst użytkowy.
Napisz list do kolegi/koleżanki z Anglii, którą wcześniej zaprosiłeś na ferie zimowe: przeproś, że nie odbierzesz go/jej z lotniska podając powód, wyjaśnij jak dostać się z lotniska do twojego domu i poinformuj ile czasu to zajmie, zaproponuj przynajmniej dwa sposoby spędzenia czasu podczas pobytu kolegi/koleżanki w Polsce, poradź jakie rzeczy powinien ze sobą zabrać i...
0 odpowiada - 0 ogląda - 1 rozwiązań
2 0
ewka13 19.4.2017 (20:09)
Rozwiązanie w załączniku...
Załączniki
Dodawanie komentarzy zablokowane - Zgłoś nadużycie