Treść zadania
Autor: jalenka Dodano: 31.3.2017 (08:11)
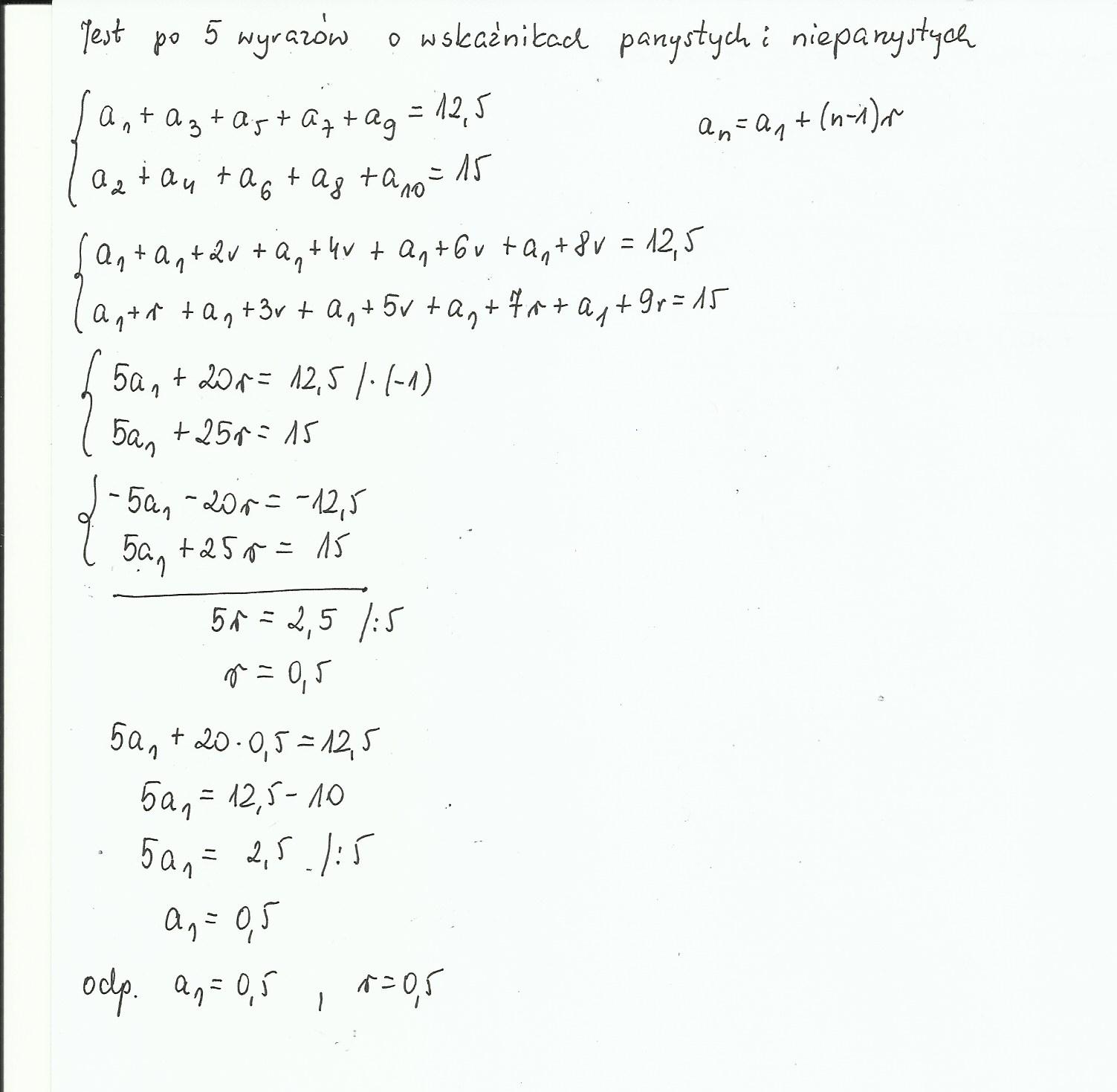
Ciąg arytmetyczny ma 10wyrazów. Suma wyrazów o wskaźnikach parzystych jest równa 15,natomiast suma wyrazów o wskaźnikach nieparzystych równa się 12,5. Wyznacz pierwszy wyraz i różnicę tego ciągu.
Zadanie jest zamknięte. Autor zadania wybrał już najlepsze rozwiązanie lub straciło ono ważność.
Najlepsze rozwiązanie
Rozwiązania
Podobne zadania
|
|
1 rozwiązanie | autor: pawel 24.3.2010 (16:28) |
|
|
2 rozwiązania | autor: MartaGrzeszczak1 29.3.2010 (17:43) |
|
|
1 rozwiązanie | autor: lusi1069 30.3.2010 (16:42) |
|
|
1 rozwiązanie | autor: xnika502x 6.4.2010 (16:07) |
|
|
2 rozwiązania | autor: xnika502x 6.4.2010 (16:07) |
Podobne materiały
Przydatność 65% "Pan Tadeusz" jako suma gatunków.
Czym jest "Pan Tadeusz" jako gatunek literacki? Zwyczajowo nazywany jest epopeją, bo ma wiele cech pozwalających zaklasyfikować go do utworów epickich. Już pierwsi czytelnicy, min. Juliusz Słowacki, zachwycali się tym poematem, a Słowacki w liście do matki nazwał go epopeja narodową. Pogląd ten potwierdził też Zygmunt Krasiński w słowach "Żaden europejski naród...
Przydatność 55% Św. Tomasz z Akwinu, Suma teologiczna, t 9. „Cel ostateczny czyli szczęście oraz uczynki ludzkie”
Każdy z nas, każdy człowiek potrafi doznawać wielu uczuć, co wywołuje u niego czasem śmiech, czasem przygnębienie, czasem pozytywne, lub negatywne wspomnienia, a czasem wiele, wiele innych reakcji. Gama uczuć jest bardzo szeroka, od tych najprostszych, związanych z codziennymi czynnościami, aż do tych najgłębszych, nad którymi najwybitniejsi filozofowie zastanawiają...
0 odpowiada - 0 ogląda - 1 rozwiązań
3 0
ewka13 31.3.2017 (22:22)
Rozwiązanie w załączniku...
Załączniki
Dodawanie komentarzy zablokowane - Zgłoś nadużycie