Treść zadania

Kresja

Bardzo proszę
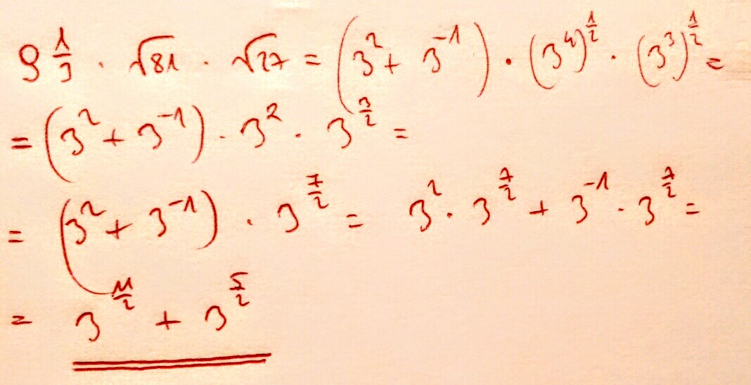
Zapisz w postaci potęgi liczby 3 .
9 1/3 *√81*²√27= (dziewięć i jedna trzecia, razy pierwiastek z osiemdziesiąt jeden ,razy pierwiastek 2 stopnia z 27)

Oblicz : 5 5/2 *√5 ( ułamek pięć i pięć drugich

Zgłoś nadużycie

Komentarze do zadania

  • Bez sensu! Kto pisze ułamek 5 i 5/2?

Zadanie jest zamknięte. Autor zadania wybrał już najlepsze rozwiązanie lub straciło ono ważność.

Rozwiązania

Podobne zadania

xnika502x Dla jakich x liczby x2-5x,-2,-10 tworzą ciąg arytmetyczny. Przedmiot: Matematyka / Liceum 1 rozwiązanie autor: xnika502x 6.4.2010 (16:07)
xnika502x Dla jakich x liczby x2-5x,-2,-10 tworzą ciąg arytmetyczny. Przedmiot: Matematyka / Liceum 2 rozwiązania autor: xnika502x 6.4.2010 (16:07)
nikola29 wyznacz wszystkie liczby a i b dla których równanie ax - 4b = 2x = 8 nie Przedmiot: Matematyka / Liceum 2 rozwiązania autor: nikola29 15.4.2010 (19:01)
Monika697 znajdź liczbę która jest większa o 1,1 od wyniku dzielenia jej przez liczby Przedmiot: Matematyka / Liceum 1 rozwiązanie autor: Monika697 18.4.2010 (12:09)
mala53 Bardzo proszę o pomoc! Przedmiot: Matematyka / Liceum 1 rozwiązanie autor: mala53 19.4.2010 (11:00)

Podobne materiały

Przydatność 50% Liczby

1. Liczby rzeczywiste – wszystkie liczby , które odpowiadają punktom na osi liczbowej. 2. Liczby wymierne – liczby dające przedstawić się za pomocą ułamka p/q , gdzie p jest dowolną liczbą całkowitą, a q jest dowolną liczbą naturalną ( np. 1/7, 3 ½,- 32/5 , 0, -2,6 , 5 (3), 3. Liczby niewymierne – liczby nie dające się zapisać w postaci ułamka zwykłego ( np. 3, 5,...

Przydatność 50% Liczby

Liczby pierwsze Liczbę naturalną, która ma dokładnie dwa dzielniki, nazywamy liczbą pierwsza. Liczb pierwszych jest nieskończenie wiele. Znajdowanie ich nie jest jednak łatwe. Od pewnego czasu używa się do tego komputerów. Największa znana dziś liczba pierwsza została odkryta w lipcu 2001 roku przez Michaela Camerona i George'a Woltmana ma postać 213466917-1. Ma ona aż 4...

Przydatność 70% Liczby zaprzyjaźnione

Są to dwie takie liczby naturalne M i N, z których każda jest sumą podzielników właściwych drugiej(przez podzielnik właściwy danej liczby rozumiemy każdy podzielnik mniejszy od tej liczby). Pierwszą parę takich liczb, którą podał jeszcze Pitagoras, stanowią liczby 220 i 284, ponieważ dzielnikami właściwymi liczby 220 są: 1,2,4,5,10,11,20,22,44,55 i 110, a ich suma wynosi...

Przydatność 65% Liczby kwantowe

1) Główna liczba kwantowa (n) - przyjmuje wartości kolejnych liczb naturalnych 1, 2, 3, ... (wg Bhora K, L, M, ...); - od niej zależy energia danego elektronu; - decyduje o rozmiarach orbitali - im większa wartość n, tym większy jest orbital; - maksymalna ilośc elektronów w powłoce wynosi 2m2 (kwadrat) n 1 = K 2 = L 3 = M 4 = N 5 = O 6 = P 7 = Q 2) Poboczna liczba...

Przydatność 65% Liczby doskonałe

Liczby doskonałe to takie liczby których suma dzielników tworzy tę właśnie liczbę. Do tej pory znaleziono 36 liczb doskonałych podam 4 najmniejsze: 6={1+2+3} 28={1+2+4+7+14} 496={1+2=4+8+16+31+62+124+248} 8128+{1+2+4+8+16+32+64+127+254+508+1016+2032+4064}

0 odpowiada - 0 ogląda - 1 rozwiązań

Dodaj zadanie

Zobacz więcej opcji