Zaliczaj.pl
Gimnazjum » Matematyka
Dodaj do ulubionych Drukuj
Autor: Natalka7822 Dodano: 5.12.2016 (21:38)
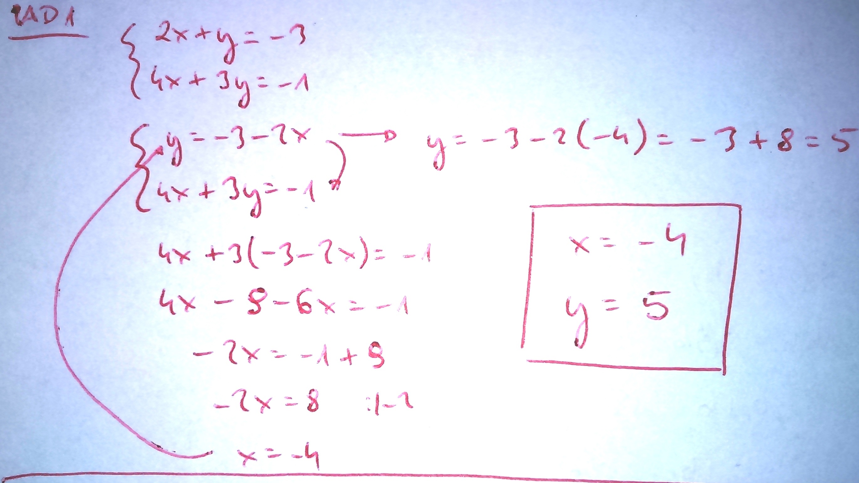
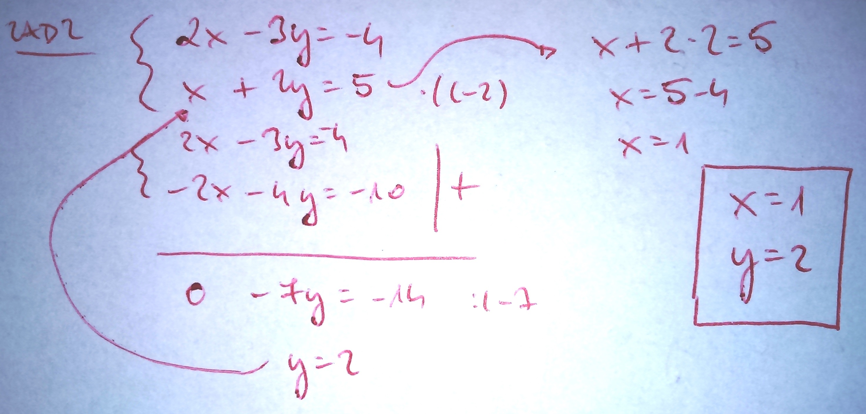
W załączniku
Zgłoś nadużycie
Zadanie jest zamknięte. Autor zadania wybrał już najlepsze rozwiązanie lub straciło ono ważność.
2 0
werner2010 6.12.2016 (01:02)
rozwiązania na zdjęciach
Dodawanie komentarzy zablokowane - Zgłoś nadużycie
0 odpowiada - 0 ogląda - 1 rozwiązań
Zobacz więcej opcji
2 0
werner2010 6.12.2016 (01:02)
rozwiązania na zdjęciach
Załączniki
Dodawanie komentarzy zablokowane - Zgłoś nadużycie