Treść zadania

Natalka7822

Zadania w załączniku

Załączniki do zadania

Zadanie jest zamknięte. Autor zadania wybrał już najlepsze rozwiązanie lub straciło ono ważność.

Rozwiązania

  • antekL1

    Pierwszy zestaw.

    Zadanie 10 (... liczba dziesiątek jest o 1 większa od liczby jedności)

    Jeśli "x" oznacza cyfrę jedności to liczba dziesiątek ma być równa x+1,
    czyli liczba ma postać:

    n = 10 (x + 1) + x = 11x + 10 ; dla x ze zbioru {0;1;2;3;4;5;6;7;8}

    (liczba x nie może być równa 9 bo wtedy liczba dziesiątek wynosi 10,
    a nie może, bo liczba ma być dwucyfrowa).
    Sprawdźmy:
    Dla x = 0 mamy liczbę 11 * 0 + 10 = 10
    Dla x = 1 mamy liczbę 11 * 1 + 10 = 21
    ....
    Dla x = 8 mamy liczbę 11 * 8 + 10 = 98. Zgadza się :)
    ========================

    Zadanie 11 z tego samego zestawu.

    = (a^2 - 6a + 9) - 2(1 - 2a + a^2) - (16 - a^2) =
    = (a^2 - 2a^2 + a^2) + (-6a + 4a) + (9 - 2 - 16) =
    = -2a - 9
    ========================

    Zadanie 12 z tego samego zestawu.
    Liczba o 6 większa od 2x + 2 to: 2x + 2 + 6 = 2x + 8
    Liczba o 50% większa od x - 2 to 1,5 (x - 2) = 1,5 x - 3
    Odejmujemy drugą liczbę od pierwszej:
    (2x + 8) - (1,5x - 3) = 0,5x + 11
    ========================================================================

    Drugi zestaw.

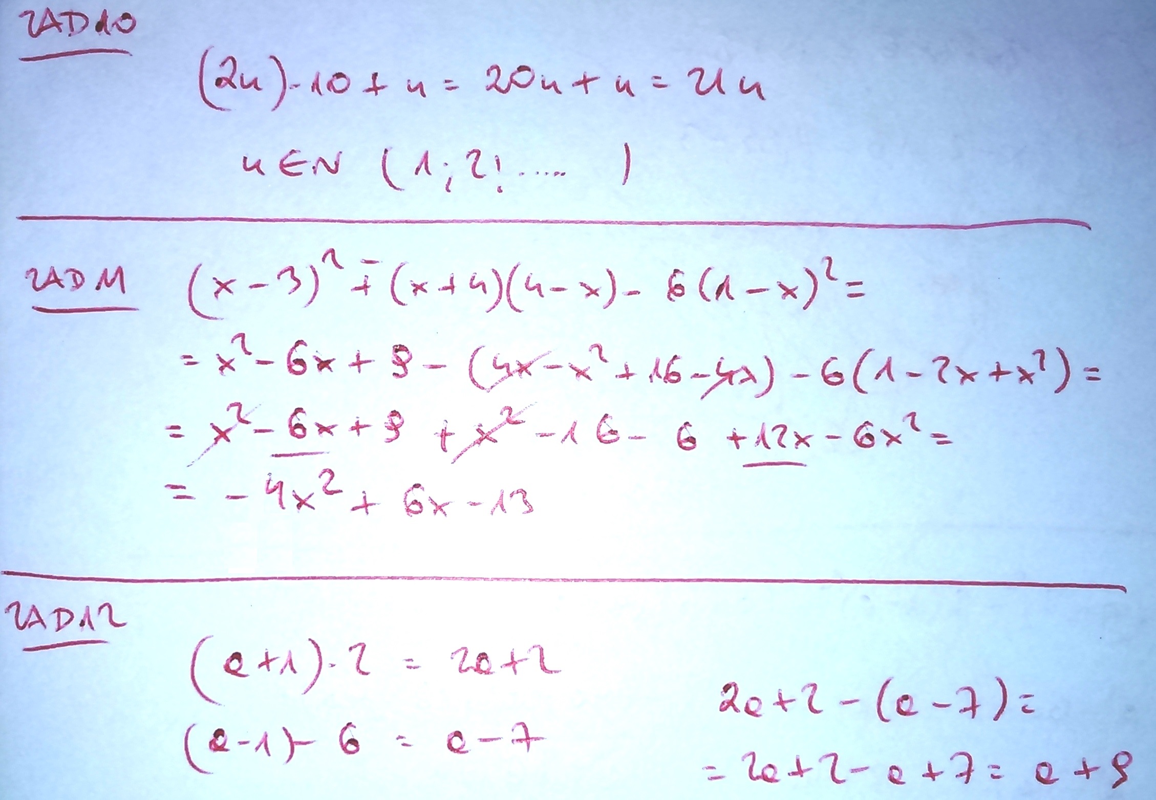
    Zadanie 10 (... liczba dziesiątek jest 2 razy większa od liczby jedności)

    Jeśli "x" oznacza cyfrę jedności to liczba dziesiątek ma być równa 2x
    czyli liczba ma postać:

    n = 10 (2x) + x = 21x ; dla x ze zbioru {1;2;3}

    (liczba x nie może być równa 0 bo wtedy liczba dziesiątek wynosi też 0
    a nie może, bo liczba ma być dwucyfrowa).
    Podobnie liczba dziesiątek nie może być większa od 4).
    Sprawdźmy:
    Dla x = 1 mamy liczbę 21 * 1 = 21
    Dla x = 2 mamy liczbę 21 * 2 = 42
    Dla x = 3 mamy liczbę 21 * 3 = 63
    Dla x = 4 mamy liczbę 21 * 4 = 84 ; zgadza się :)
    ========================

    Zadanie 11 z tego samego zestawu.

    = (x^2 - 6x + 9) - (16 - x^2) - 6(1 - 2x + x^2) =
    = (x^2 + x^2 - 6x^2) + (-6x + 12x) + (9 - 16 - 6) =
    = - 4 x^2 + 6x - 13
    ========================

    Zadanie 12 z tego samego zestawu.
    Liczba o 100% większa od a+1 to: 2 (a+1) = 2a + 2
    Liczba o 6 mniejsza od a - 1 to: a - 1 - 6 = a - 7
    Odejmujemy drugą liczbę od pierwszej:
    (2a + 2) - (a - 7) = a + 9
    ========================================================================

  • werner2010

    rozwiązania na zdjęciach

    Załączniki

Podobne zadania

marla zadania Przedmiot: Matematyka / Gimnazjum 5 rozwiązań autor: marla 26.3.2010 (19:56)
basia0501 Proszę o pomoc!!! Oto tekst zadania: Do podanych równań ułóż tekst zadań: Przedmiot: Matematyka / Gimnazjum 1 rozwiązanie autor: basia0501 30.3.2010 (21:19)
uczennica0638 zadania różne Przedmiot: Matematyka / Gimnazjum 1 rozwiązanie autor: uczennica0638 6.4.2010 (12:05)
sylwaczek Rozwiaz zadania Przedmiot: Matematyka / Gimnazjum 1 rozwiązanie autor: sylwaczek 6.4.2010 (17:37)
kamiluskaxd zadania z ułamkami i niewiadomymi Przedmiot: Matematyka / Gimnazjum 1 rozwiązanie autor: kamiluskaxd 7.4.2010 (13:28)

Podobne materiały

Przydatność 55% Bankowośc zadania

POSIADAM JESZCZE INNE MATERIAŁY Z BANKOWOŚCI I NIE TYLKO

Przydatność 70% Zadania wahadłowców

Promy kosmiczne, zwane też wahadłowcami lub samolotami kosmicznymi, są pierwszymi pojazdami wielokrotnego użytku przeznaczonymi do podróży poza naszą planetę. Startują z powierzchni Ziemi na podobieństwo rakiety kosmicznej, po wejściu na orbitę stają się sztucznymi satelitami, a gdy kończą zadanie, lądują z powrotem na ziemskim globie niczym gigantyczny szybowiec. Już sama...

Przydatność 80% Zadania sekretariatu

Zadania sekretariatu Głównym zadaniem sekretariatu jest odciążenie kierownika z uciążliwych administracyjno - biurowych i techniczno ? usługowych spraw które są bardzo drobne. W strukturze firmy sekretariat nie ma charakteru merytorycznego lecz usługowy. W sekretariacie może być zatrudnionych kilka osób ale najczęściej jest to komórka jednoosobowa (zatrudniony to sekretarka lub...

Przydatność 50% Zadania spedytora

Zadania spedytora: - Spedytor zobowiązany jest wykonywać swoje czynności zgodnie z przyjętym zleceniem. - Spedytor jest zobowiązany do odbioru przesyłki w przypadku gdy brakuje właściwych dokumentów. - Spedytor odbierając przesyłkę jest zobowiązany sprawdzić czy przesyłka dostarczona została w stanie nienaruszonym. - Spedytor nie ma obowiązku sprawdzać zgodność...

Przydatność 50% Zadania i cele mediów

Istnieje wiele teorii, dotyczących zadań, jakie spełniają środki masowego przekazu. Wynika to ze zróżnicowanego definiowania tego pojęcia. W ujęciu funkcjonalistycznym, które uznaje media za autonomiczne instytucje, mają one następujące funkcje: 1. Informacja: - informowanie o wydarzeniach i sytuacji w społeczeństwie, kraju i na świecie, - powiadamianie o rozkładzie sił we...

0 odpowiada - 0 ogląda - 2 rozwiązań

Dodaj zadanie

Zobacz więcej opcji