Treść zadania

Ellthss

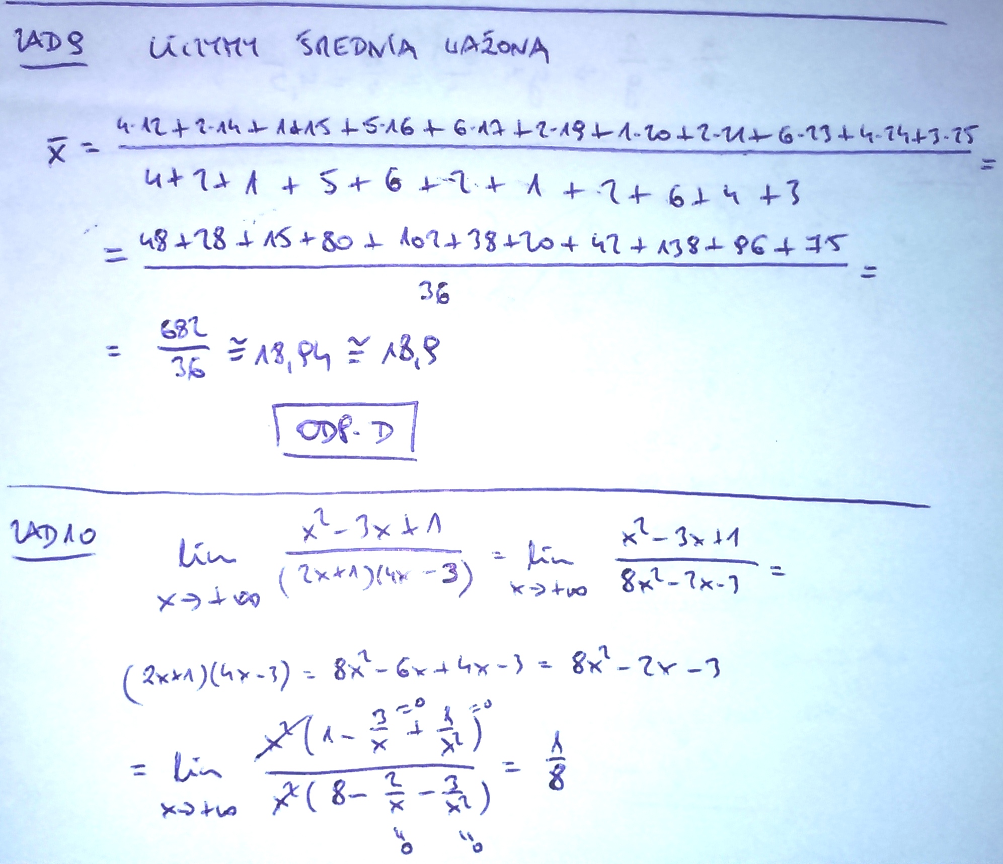
Matematyka zadania w załaczniku proszę o pomoc cz 3

Załączniki do zadania

Zadanie jest zamknięte. Autor zadania wybrał już najlepsze rozwiązanie lub straciło ono ważność.

Najlepsze rozwiązanie

Rozwiązania

Podobne zadania

moniaa91 Matematyka- Walec Przedmiot: Matematyka / Liceum 1 rozwiązanie autor: moniaa91 29.3.2010 (21:21)
mania1408-k1 proszę o pomoc zadania na jutro. Przedmiot: Matematyka / Liceum 2 rozwiązania autor: mania1408-k1 13.4.2010 (16:43)
mania1408-k1 proszę o pomoc zadania na jutro. Przedmiot: Matematyka / Liceum 1 rozwiązanie autor: mania1408-k1 13.4.2010 (16:49)
bombecka88 Zadanie matematyka pomocy Przedmiot: Matematyka / Liceum 1 rozwiązanie autor: bombecka88 14.4.2010 (11:45)
mania1408-k1 Zadanie matematyka pomocy-pola trójkątów podobnych. Przedmiot: Matematyka / Liceum 1 rozwiązanie autor: mania1408-k1 14.4.2010 (12:58)

Podobne materiały

Przydatność 80% Matematyka - wykłady

Wykłady w załącznikach

Przydatność 70% Matematyka finansowa

Matematyka finansowa wzory

Przydatność 50% Geometria - matematyka

Praca znajduje się w załączniku.

Przydatność 90% Słówka - Matematyka (Maths vocabulary)

MATHEMATICS BASIC WORDS algebra - algebra arytmetyka - arithmetic geometria - geometry trygonometria - trygonometry linia - line linia prosta - straight line linia prostopadła - perpendicular line linie równoległe - parallel lines odcinek - sector, segment punkt - point czworokąt - quadrangle elipsa - ellipse kwadrat - square okrąg - circle ośmiokąt -...

Przydatność 65% Matematyka Finansowa z Figurskim

W załacznku daje wykłady zadania ktore sie przydadza do egaaminu u figurskiego

0 odpowiada - 0 ogląda - 1 rozwiązań

Dodaj zadanie

Zobacz więcej opcji