Treść zadania
Autor: gucio66 Dodano: 25.10.2016 (00:58)
Zad.11.pewna grupa osób udała się do kina .x osób kupiło bilety ulgowe po 10 zł,a pozostałych y osób -bilety normalne po 16 zł.Ile kosztował średnio bilet
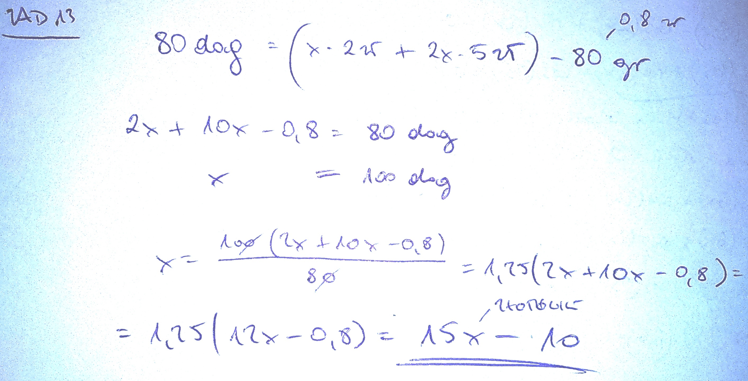
dla jednej osoby? zad.12.zapisz sumę trzech kolejnych liczb naturalnych,z których najmniejszą jest liczba n i uzasadnij,że jest podzielna przez 3. zad.13. basia kupiła 80 dag cukierków.wręczyła ekspedientce x dwuzłotówek i dwa razy więcej pięciozłotówek . otrzymała 80 groszy reszty .zapisz wyrażnie algebraiczne opisując, ile złotych kosztował 1 kg tych cukierków. zad.14. wyznacz a ze wzoru:ab/a+c i podaj odpowiednie założenia.
Komentarze do zadania
Zadanie jest zamknięte. Autor zadania wybrał już najlepsze rozwiązanie lub straciło ono ważność.
Rozwiązania
Podobne zadania
|
|
4 rozwiązania | autor: monika96 5.5.2010 (16:55) |
|
|
2 rozwiązania | autor: angel008 19.5.2010 (18:12) |
|
|
8 rozwiązań | autor: agatkarudki 12.6.2010 (08:50) |
|
|
2 rozwiązania | autor: justyskaaa 12.9.2010 (14:52) |
|
|
1 rozwiązanie | autor: anka195 5.10.2010 (16:34) |
Podobne materiały
Przydatność 50% Historia kina
Żeby mógł powstać film, najpierw musiała zostać wymyślona fotografia; wynalazł ją w drugiej połowie XIX wieku chemik Louis Daquerre( dlatego pierwsze fotografie nazywano dagerotypami). Film wykorzystywał dwa wynalazki- fotografią i zjawisko zwane camera obscura (łac. ciemny pokój). Ponieważ ruch w filmie jest złudzeniem,tak naprawdę widz ogląda serię szybko po sobie...
Przydatność 65% Historia kina
Tekst z leksykonu PWN! Kino 28 XII 1895 odbył się w Paryżu pokaz 2-minutowego filmu Wyjście robotnic z fabryki Lumière'ów w Lyonie, nakręcony przez Ludwika i Augusta Lumière'ów. Film ten został uznany przez historyków za pierwszy film w dziejach kinematografii. Zaskoczeni sukcesem bracia Lumière zaczęli otwierać nowe sale i prezentować swój wynalazek. Zaangażowali...
Przydatność 50% Grupa Siedmiu
Grupa Siedmiu jest to siedem najbogatszych krajów świata, nieformalnie przewodzących gospodarce światowej. Należą do nich USA, Kanada, Niemcy, Francja, Wielka Brytania i Włochy. Po raz pierwszy przywódcy tych potęg przemysłowych spotkali się w 1975 roku
z inicjatywy prezydentów Francji i RFN, by przedyskutować problemy związane z kryzysem naftowym. Następne szczyty związane...
Przydatność 50% Wyjscie do kina
Vier sehr gute Freunde, Asia, Iga, Wojtek und Lukasz haben beschlossen am Samstag zusammen ins Kino zu gehen. Sie wollten sich um 20 Uhr vor dem Eingang des Kinos treffen. Sie trafen sich alle pnktlich und schauten sich zuerst das Kinoprogramm an um zu entscheiden, in weldchen Film sie nun gehen sollen. Die Jungs bevorzugten Science-Fiction Filme wobei auch viel Action, Schieerei und Gewalt...
Przydatność 50% Mikołajkowa wycieczka do kina
W piątek – 9. grudnia – została zorganizowana w mojej klasie „mikołajkowa wycieczka” do kina. Obejrzeliśmy tam czwartą część przygód Harrego Pottera – „Harry Potter i Czara Ognia”. Film został zekranizowany na podstawie książki o tym samym tytule autorstwa Joanne K. Rowling. Wyreżyserował go Mike Newell w roku 2005. Czas akcji to współczesność – dokładna data...
0 odpowiada - 0 ogląda - 1 rozwiązań
1 0
werner2010 27.10.2016 (02:04)
rozwiązania na zdjęciach
Załączniki
Dodawanie komentarzy zablokowane - Zgłoś nadużycie