Treść zadania

dawidos009

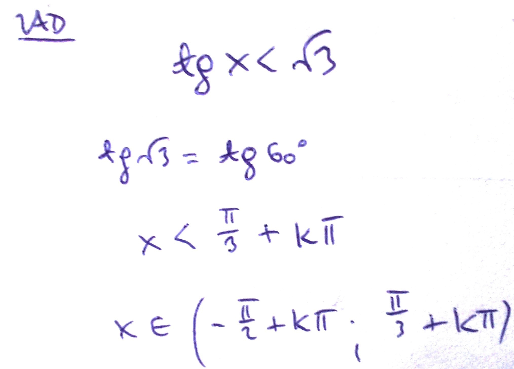
Rozwiąż nierówność:
tg x < pierwiastek z 3
Błagam

Zadanie jest zamknięte. Autor zadania wybrał już najlepsze rozwiązanie lub straciło ono ważność.

Rozwiązania

Podobne zadania

urwisek4 w trójkącie prostokątnym sin alfa=1/piewiastek z 17 ; cos alfa=4/pierwiastek Przedmiot: Matematyka / Liceum 1 rozwiązanie autor: urwisek4 28.3.2010 (23:44)
madzia1170 3 do potęgi osiem trzecich razy pierwiastek trzeciego stopnia z dziewiec do Przedmiot: Matematyka / Liceum 4 rozwiązania autor: madzia1170 4.5.2010 (14:42)
marzena1981 [pierwiastek z 1 i 9/16:(-1i1/4)do potEgi 2-(-1/2)do potęgi -2]*(-2i1/2)do Przedmiot: Matematyka / Liceum 2 rozwiązania autor: marzena1981 31.5.2010 (14:55)
kkkostkaaa -2(x+pierwiastek z dwóch)(x+7)>0 Przedmiot: Matematyka / Liceum 2 rozwiązania autor: kkkostkaaa 7.9.2010 (15:17)
agniesia1994 jak znaleść na osi pierwiastek z 2 Przedmiot: Matematyka / Liceum 2 rozwiązania autor: agniesia1994 22.9.2010 (20:38)

Podobne materiały

Przydatność 70% Pierwiastek chemiczny

Pierwiastek chemiczny, zbiór atomów o tej samej liczbie atomowej. Atomy danego pierwiastka chemicznego mogą się różnić liczbą neutronów, a zatem i masą jądra. Atomy takie nazywamy izotopami danego pierwiastka. Niektóre pierwiastki chemiczne tworzą odmiany alotropowe (alotropia). Przemiany jednych pierwiastków w inne zachodzą samorzutnie w przypadku pierwiastków...

Przydatność 80% Magnez, pierwiastek życia

Magnez należy do pierwiastków występujących we wszystkich tkankach i płynach ustrojowych. Jest pod względem ilości czwartym składnikiem mineralnym ustroju. Z 20 do 30 gramów magnezu znajdującego się w ciele dorosłego człowieka ponad połowa znajduje się w kościach. Magnez jest niezbędny w organizmie człowieka do działania około 80 enzymów i aktywacji witaminy B1....

Przydatność 80% Lit - pierwiastek chemiczny.

„ Jestem pierwiastkiem chemicznym o liczbie atomowej 3 ” Lit Nazywam się Lit. Nazwa pochodzi od greckiego lithos – kamień. Moja nazwa angielska to Lithium. Mieszkam sobie pod wodorem, obok berylu i nad sodem. Odkrył mnie Johann Arfvedson w 1817 w Szwecji. Zostałem odkryty podczas analizy minerału krzemianowego -...

Przydatność 60% Siarka jako pierwiastek

Siarka Występowanie: Siarka występuje w przyrodzie w stanie wolnym i w postaci związanej. Tworzy liczne minerały ? głównie siarczki np. piryt, galena, blenda cynkowa i siarczany. Siarka jest też obecna w węglu kamiennym, ropie naftowej, gazie ziemnym, oraz gazach wulkanicznych i białkach organizmów żywych. Siarka tworzy odmiany alotropowe: w stanie ciekłym i stałym. W...

0 odpowiada - 0 ogląda - 1 rozwiązań

Dodaj zadanie

Zobacz więcej opcji