Treść zadania

agafa

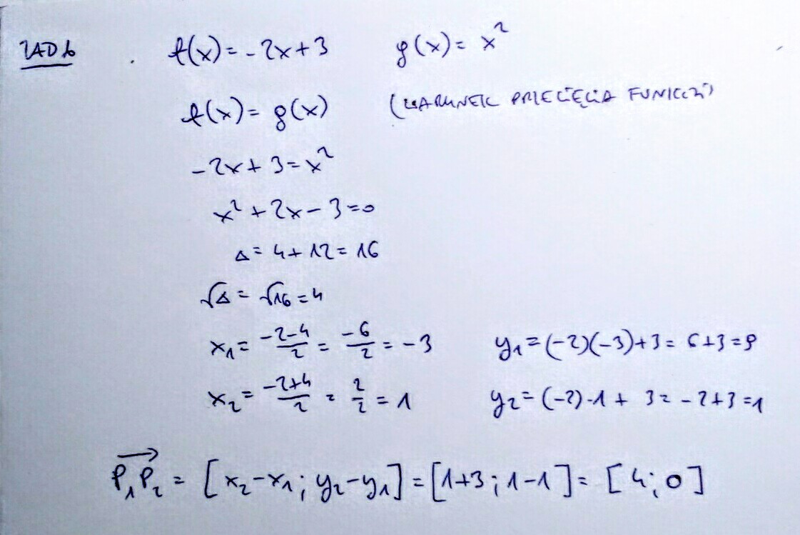
Wykres funkcji .wyznacz wektor P1i P2 (przykład b)i c) )
Z góry dziękuję za pomoc.

Załączniki do zadania

Zadanie jest zamknięte. Autor zadania wybrał już najlepsze rozwiązanie lub straciło ono ważność.

Najlepsze rozwiązanie

Rozwiązania

Podobne zadania

MartaGrzeszczak1 Dany jest trójkąt o wierzchołkach A=(-4, 2) B=(0,4) C=(6,-4) a) wyznacz Przedmiot: Matematyka / Liceum 2 rozwiązania autor: MartaGrzeszczak1 29.3.2010 (17:43)
Nieznany Wypisz własności funkcji y=cos x Przedmiot: Matematyka / Liceum 1 rozwiązanie autor: Konto usunięte 8.4.2010 (18:17)
nikola29 wyznacz wszystkie liczby a i b dla których równanie ax - 4b = 2x = 8 nie Przedmiot: Matematyka / Liceum 2 rozwiązania autor: nikola29 15.4.2010 (19:01)
iwona5000 wykres funkcji kwadratowej f(x)=3(x+1)kwadrat-4 NIE MA punktów wspólnych z Przedmiot: Matematyka / Liceum 1 rozwiązanie autor: iwona5000 17.4.2010 (11:27)
iwona5000 Jaka jest najmniejsza wartość funkcji kwadratowej f(x)= x kwadrat +4x-3 w Przedmiot: Matematyka / Liceum 1 rozwiązanie autor: iwona5000 17.4.2010 (11:31)

Podobne materiały

Przydatność 60% Siła jako wektor

Jeśli dwa ciała działają na siebie, mówimy, że działają między nimi siły. Siły nie można zobaczyć, ale można rozpoznać jej działanie po wywoływanych przez nią skutkach. Skutki działania sił dzielimy na dwie grupy: - zmiany stanu ruchu (skutki dynamiczne), np. zmiana prędkości lub kierunku ruchu, zatrzymanie ciała, czy wprawienie go w ruch. - odkształcenie...

Przydatność 65% Wykres równowagi układu żelazo

Wykres równowagi układu żelazo-węgiel, to wykres , który odzwierciedla równowagę fazową w stopach żelaza z węglem. Jest przedstawiany w dwóch wersjach : jako stabilny żelazo-grafit i metastabilny żelazo-cementyt Fe3 C. Pierwszy jest stosowany do opisu żeliw /surówek/ szarych, a drugi do stali i surówek białych. Wykres metastabilny rysowany jest linią ciągłą, a stabilny...

Przydatność 65% List, w którym wyznacze cele na nowy rok szkolny.

Przysietnica 02.09.2009 Angeliko! Pierwszego września rozpoczęłam nowy rok szkolny. Pamiętam, że jest to dzień szczególny, także z powodu siedemdziesiątej rocznicy wybuchu II Wojny Światowej. Wiem, że wtedy wiele dzieci ie mogło...

Przydatność 60% Minimalizacja funkcji logicznych

Minimalizacja funkcji logicznych

Przydatność 55% Gradient funkcji. Różniczka zupełna

Gradient funkcji. Różniczka zupełna

0 odpowiada - 0 ogląda - 1 rozwiązań

Dodaj zadanie

Zobacz więcej opcji