Treść zadania

agafa

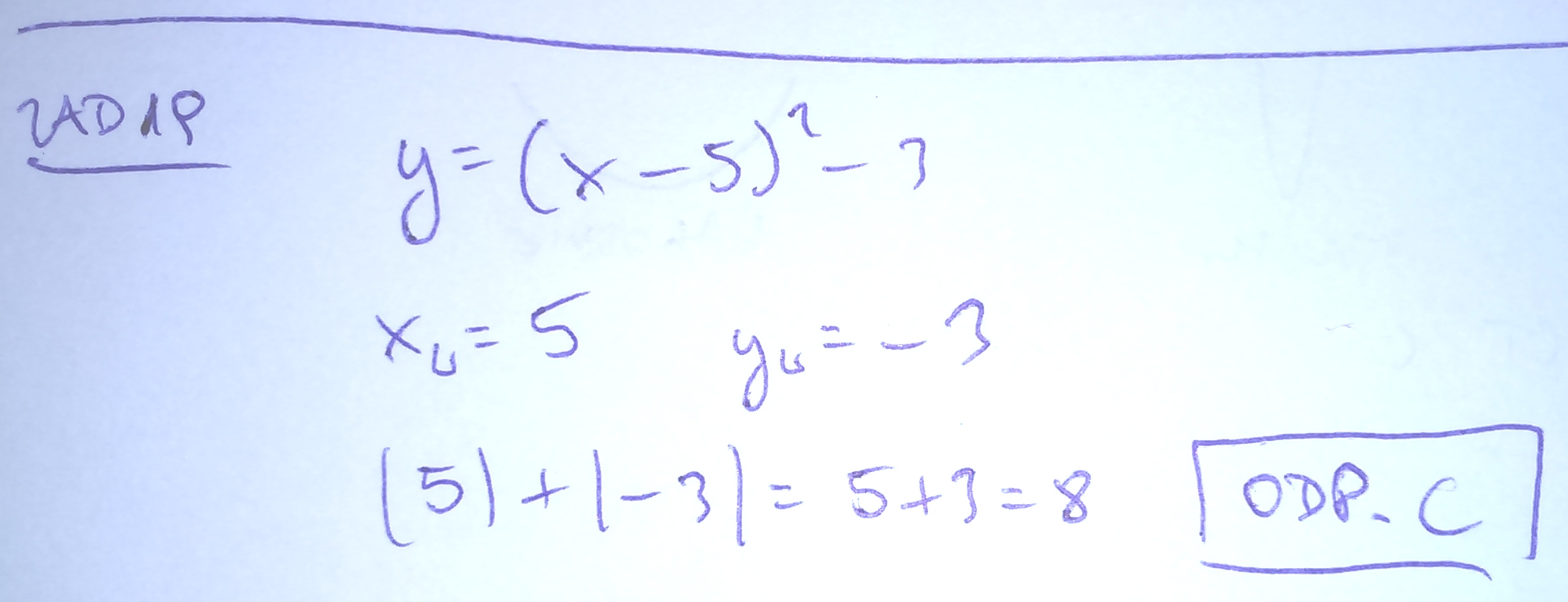
Funkcje .Proszę o pomoc

Załączniki do zadania

Zadanie jest zamknięte. Autor zadania wybrał już najlepsze rozwiązanie lub straciło ono ważność.

Najlepsze rozwiązanie

Rozwiązania

Podobne zadania

mania1408-k1 proszę o pomoc zadania na jutro. Przedmiot: Matematyka / Liceum 2 rozwiązania autor: mania1408-k1 13.4.2010 (16:43)
mania1408-k1 proszę o pomoc zadania na jutro. Przedmiot: Matematyka / Liceum 1 rozwiązanie autor: mania1408-k1 13.4.2010 (16:49)
pepik535 Funkcje zadanie Przedmiot: Matematyka / Liceum 1 rozwiązanie autor: pepik535 15.4.2010 (18:41)
asiula911 funkcje kwadratowe Przedmiot: Matematyka / Liceum 2 rozwiązania autor: asiula911 16.4.2010 (17:03)
kasztanek17 funkcje . Przedmiot: Matematyka / Liceum 1 rozwiązanie autor: kasztanek17 17.4.2010 (16:36)

Podobne materiały

Przydatność 60% Pomoc psychologiczna - Pojęcie , cele, funkcje, formy

Pomoc psychologiczna Pojęcie , cele, funkcje, formy 1. Zagadnienie Interpretacja pojęcia, pomoc psychologiczna 2. Cele funkcje pomocy psychologicznej 3. Podstawowe formy pomocy psychologicznej Pomoc psychologiczna to szeroki wachlarz różnorodnych działań prospołecznych mających na celu udzielenie wsparcia psychologicznego osobom, grupom, czy instytucjom znajdującym się w...

Przydatność 50% Funkcje

Przy określaniu jakiegokolwiek przyporządkowania funkcję dzielimy na dwa zbiory -dziedzinę -przeciwdziedzinę Elementy dziedziny to argumenty a przeciwdziedzinyto wartości. Przy zadaniach z funkcji zawsze dane są dwa zbiory X i Y. Funkcja jest to takie przyporządkowanie kiedy każdemu elementowi za zbioru X przyporządkowany jest dokładnie jeden element ze zbioru Y Funkcja rosnąca...

Przydatność 80% Pierwsza pomoc - pomoc przedmedyczna

Pierwsza Pomoc Przedmedyczna Pierwsza pomoc przedmedyczna to czynności ratownika (osoby udzielającej pierwszą pomoc) prowadzące do zabezpieczenia i utrzymania przy życiu osoby poszkodowanej, do czasu przyjazdu wykwalifikowanych służb. Etapy pierwszej pomocy 1. ocena sytuacji 2. zabezpieczenie miejsca zdarzenia 3. ocena stanu poszkodowanego 4. wezwanie pomocy - 999 ? Pogotowie...

Przydatność 50% Pierwsza pomoc

UDZIEANIE PIERWSZEJ POMOCY POSZKODOWANYM RANY Rany należą do najczęszczych uszkodzeń urazowych i w większości powstają w następstwie nieszczęśliwych wypadków. Niektóre zranienia wymagają natychmiastowego opatrzenia z uwagi na stan zagrożenia życia. Inne natomiast nie zagrażają życiu, wymagają jedynie doraźnej pomocy, co wcale nie znaczy, że można je lekceważyć....

Przydatność 55% Pierwsza pomoc

PIERWSZA POMOC TELEFONY ALARMOWE numer pogotowia ratunkowego: 999numer telefonu alarmowego telefonii komórkowej: 112 Wzywając pogotowie ratunkowe należy podać krótkie i konkretne informacje o stanie chorego. Powinny zawierać informacje takie jak:- krótki opis zdarzenia,- jaki czas minął od zdarzenia,- aktualny stan chorego: a) czy oddycha, b) czy ma tętno na tętnicy szyjnej,...

0 odpowiada - 0 ogląda - 1 rozwiązań

Dodaj zadanie

Zobacz więcej opcji