Treść zadania

agafa

Proszę chociaż 3 przykłady
Powtórka z funkcji (postać iloczynowa)
Z góry bardzo dziękuję.

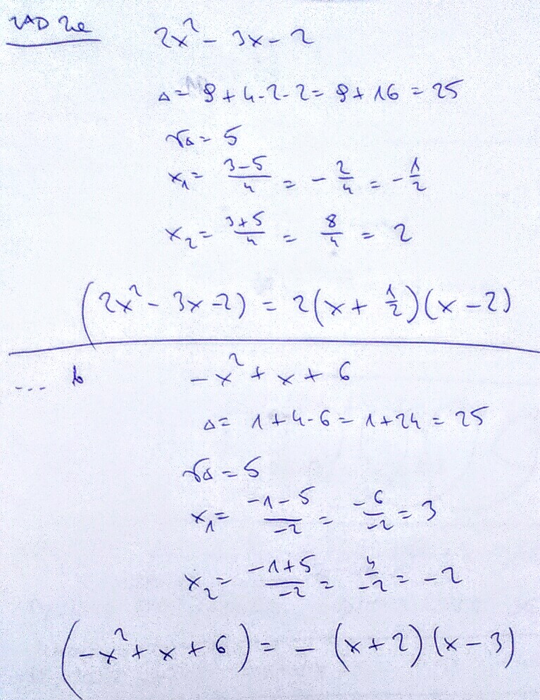
Załączniki do zadania

Zadanie jest zamknięte. Autor zadania wybrał już najlepsze rozwiązanie lub straciło ono ważność.

Najlepsze rozwiązanie

Rozwiązania

Podobne zadania

Nieznany Wypisz własności funkcji y=cos x Przedmiot: Matematyka / Liceum 1 rozwiązanie autor: Konto usunięte 8.4.2010 (18:17)
iwona5000 wykres funkcji kwadratowej f(x)=3(x+1)kwadrat-4 NIE MA punktów wspólnych z Przedmiot: Matematyka / Liceum 1 rozwiązanie autor: iwona5000 17.4.2010 (11:27)
iwona5000 Jaka jest najmniejsza wartość funkcji kwadratowej f(x)= x kwadrat +4x-3 w Przedmiot: Matematyka / Liceum 1 rozwiązanie autor: iwona5000 17.4.2010 (11:31)
kamcia07-15 mIEJSCE ZEROWE FUNKCJI Przedmiot: Matematyka / Liceum 1 rozwiązanie autor: kamcia07-15 18.4.2010 (20:35)
lukaszunkile Napisz wzór funkcji liniowej, której wykres przecina oś X w punkcie 3, a oś Przedmiot: Matematyka / Liceum 1 rozwiązanie autor: lukaszunkile 19.4.2010 (16:42)

Podobne materiały

Przydatność 60% Minimalizacja funkcji logicznych

Minimalizacja funkcji logicznych

Przydatność 55% Gradient funkcji. Różniczka zupełna

Gradient funkcji. Różniczka zupełna

Przydatność 60% Własności funkcji liniowej

Jest to prezentacja multimedialna Mspp2003 mojego autorstwa spakowana w archiwum winrara. Osobiście robiłem ją na 4 z matmy także jest okej. Pozdrawiam

Przydatność 70% Sześć podstawowych funkcji wypowiedzi.

1) Funkcja informacyjna (informatywna) - polega na powiadomieniu o różnych stanach rzeczy dotyczących świata zewnętrznego lub strefy psychicznej. 2) Funkcja ekspresywna - polega na wyrażaniu poprzez wypowiedź emocji i stanów wewnętrznych osoby mówiącej. 3) Funkcja impresywna - polega na wpływaniu na odbiorcę, wywołaniu u niego określonych reakcji w postaci zachowań,...

Przydatność 50% Miejsca zerowe Funkcji Kwadratowej

zad 5,7 5,8 5,9 str 293 podręcznik I klasa liceum Prosto do matury: M. Antek, K. Belka, P. Grabowski zad 5,7 Suma kwadratów trzech kolejnych liczb parzystych jest równa 56. Wyznacz te liczby. zad 5,8 Ile boków ma wielokąt, który ma 104 przekątne? zad 5,9 Obwód rombu jest równy 116 cm, a różnica długości jego przekątnych równa się 2 cm. Oblicz długości...

0 odpowiada - 0 ogląda - 1 rozwiązań

Dodaj zadanie

Zobacz więcej opcji