Treść zadania

~pawe

1. Mamy daną funkcję f(x)=2(x-1)^2-3. Zapisz: zbiór wartości i przedziały monotoniczności.
2. Przekształć funkcję f(x)=-5(x+2)^2-1 do postaci ogólnej.
3. Dana jest funkcja f(x)= -2(x-3)(x+4). Wyznacz jej miejsca zerowe oraz współrzędne wierzchołka paraboli.
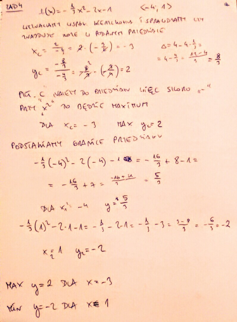
4. Znajdź największą i najmniejszą wartość funkcji f(x)= -1/3x^2-2x-1 w przedziale <-4;1>
5.Wyznacz współczynniki b i c wzoru f(x)= -2x^2+bx+c, jeśli wiesz, ze osią symetrii wykresu funkcji f jest prosta x=0, a zbiorem jej wartości jest przedział (- ∞;4>

Zadanie jest zamknięte. Autor zadania wybrał już najlepsze rozwiązanie lub straciło ono ważność.

Rozwiązania

Podobne zadania

Aneciorek dane są zbiory A= {2x-4<0}, B={ -3x<12}, C {0:6}. Zapisz zbiory A i B w Przedmiot: Matematyka / Liceum 2 rozwiązania autor: Aneciorek 20.4.2010 (20:46)
dalia ZAPISZ W POSTACI ILOCZYNU a^3-2^3. Przedmiot: Matematyka / Liceum 2 rozwiązania autor: dalia 20.4.2010 (22:11)
saralesz Oblicz wyraz pierwszy, różnicę r i zapisz wzór ogólny ciągu arytmetycznego Przedmiot: Matematyka / Liceum 1 rozwiązanie autor: saralesz 5.5.2010 (13:58)
inka91 zapisz i rozwiąż odpowiednie układy równan Przedmiot: Matematyka / Liceum 1 rozwiązanie autor: inka91 18.5.2010 (12:03)
petunia zadanie z funkcj kwadratowej Przedmiot: Matematyka / Liceum 1 rozwiązanie autor: petunia 12.9.2010 (12:28)

Podobne materiały

Przydatność 75% Charakterystyka mamy

Moja mama ma na imię Ania. Ma 41 lat i od urodzenia mieszka w Warszawie. Mama ukończyła studia o kierunku pedagogicznym i pracuje w szkole podstawowej, w charakterze pedagoga szkolnego. Mama ma szczupłą sylwetkę i jest średniego wzrostu. Ma drobną twarz, ciemną oprawę oczu i ciemne włosy, które zawsze upina w charakterystyczny kok. Choć jest bardzo wesoła wyraz twarzy ma raczej...

Przydatność 50% Charakterystyka mamy

Mama ma na imie ......... Ma ... lat i od urodzenia mieszka w ............ Ma ..... dzieci. Jest ....... średniego wzrostu. Ma drobną twarz i ........ oczy. Ma .......... włosy. Mama jest miła. Jest pomocna, ponieważ gdy mamy jakiś problem, zawsze nam pomaga i bez względu na sytuację potrafi wytłumaczyć. Mamy pierwsza odpowiedź jest ostateczną, co oznacza, że...

Przydatność 80% Charakterystyka mamy

Moja mama ma na imię Jola, ma 41 lat i mieszka od urodzenia w Pińczowie. Z wykształcenia jest ekonomistą i pracuje w instytucji państwowej w Pińczowie. Mama, tata, ja i mój starszy brat mieszkamy w domu jednorodzinnym. Mama jest korpulentną blondynką o niebieskich oczach, zazwyczaj ma rozpuszczone włosy, lecz czasem spięte w charakterystyczny kok. Choć jest bardzo wesoła,...

Przydatność 50% Funkcje

Przy określaniu jakiegokolwiek przyporządkowania funkcję dzielimy na dwa zbiory -dziedzinę -przeciwdziedzinę Elementy dziedziny to argumenty a przeciwdziedzinyto wartości. Przy zadaniach z funkcji zawsze dane są dwa zbiory X i Y. Funkcja jest to takie przyporządkowanie kiedy każdemu elementowi za zbioru X przyporządkowany jest dokładnie jeden element ze zbioru Y Funkcja rosnąca...

Przydatność 65% Ulubiona nauczycielka mojej mamy

Ulubioną nauczycielką mojej mamy była pani Maria Kwiatkowska. Polonistka, ucząca w morąskim liceum. Pani Profesor to mężatka, mająca własną rodzinę, jednak wydawało się jakby całym jej życiem była szkoła i nauczanie. Miała rubinowe, krótkie włosy i niebieskie oczy. Doskonale znała się na modzie. Czytała pisma i przywoziła ubrania z dalekich podróży. Wybierała...

0 odpowiada - 0 ogląda - 1 rozwiązań

Dodaj zadanie

Zobacz więcej opcji