Treść zadania

Martyna14200

Funkcja liniowa. Bardzo proszę o pomoc . Od tego zależy moje zaliczenie. Potrzebuję tego na dzisiaj bo jutro piszę poprawę.

Zad 1 .Dana jest funkcja
y= 3x+2

a) rozporządz wykres
b) oblicz jej miejsce zerowe


Zad 2
Sprawdz czy do wykresu y=1/4 +2 należy punkt o współrzędnych A = (-4,1)

Zad 3
Napisz równanie prostej przechodzącej przez punkty A = (1,7) i B = (-2,-2)

Zad 4 Napisz równanie prostej prostopadłej do prostej i przechodzącej przez punkty (4,-3)

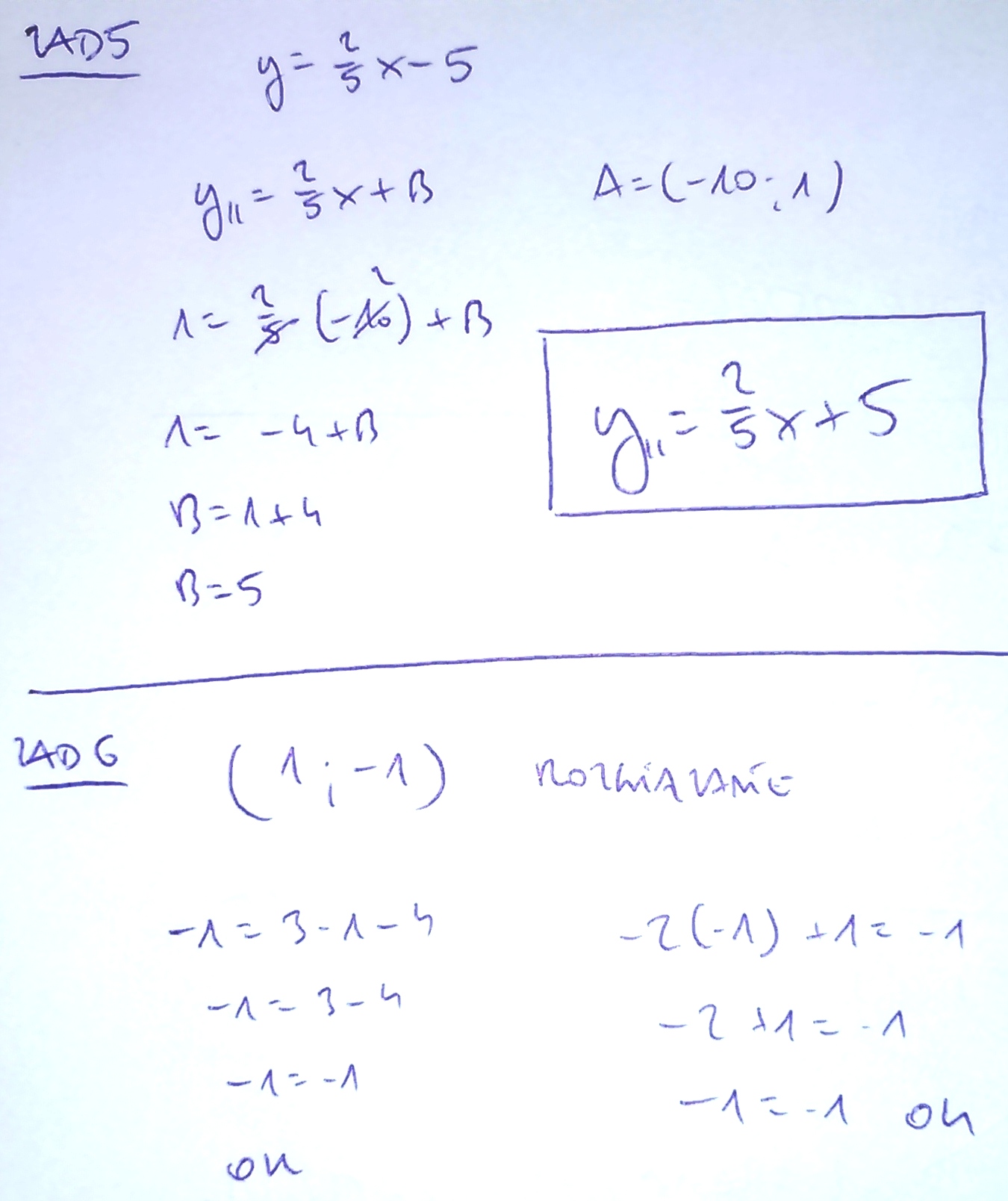
Zad 5 Napisz równanie prostej równoległej do prostej o równaniu y = 2/5 x -5 i przechodzącej przez punkty A = (-10,1)

Zad 6.
Rozwiąż graficznie układ równań.Podaj rozwiązanie i sprawdz czy współrzędne podanego punktu są rozwiązaniem tego układu
y= 3x-4
y=-2x+1

Zadanie jest zamknięte. Autor zadania wybrał już najlepsze rozwiązanie lub straciło ono ważność.

Najlepsze rozwiązanie

Rozwiązania

Podobne zadania

Nieznany Funkcja liniowa Przedmiot: Matematyka / Liceum 1 rozwiązanie autor: Konto usunięte 2.4.2010 (19:51)
acapella1222 Funkcja kwadratowa !!!!!!!!!!!!!!!!!!!!! Przedmiot: Matematyka / Liceum 1 rozwiązanie autor: acapella1222 7.4.2010 (21:08)
mania1408-k1 proszę o pomoc zadania na jutro. Przedmiot: Matematyka / Liceum 2 rozwiązania autor: mania1408-k1 13.4.2010 (16:43)
mania1408-k1 proszę o pomoc zadania na jutro. Przedmiot: Matematyka / Liceum 1 rozwiązanie autor: mania1408-k1 13.4.2010 (16:49)
kleopatra_1992 Obliczenie boków trójkąta oraz miar kątów ostrych tego trójkąta. Przedmiot: Matematyka / Liceum 1 rozwiązanie autor: kleopatra_1992 16.4.2010 (19:58)

Podobne materiały

Przydatność 60% Termodynamika - zaliczenie

W załączniku znajduje sie ściąga na zaliczenie termodynamiki!! Mam nadzieje że komuś się ona przyda w tym trudnym czasie sesji - zwłaszcza dla chemików!!!! :)

Przydatność 50% Terapia przez sztukę zaliczenie

Zaliczenie z przedmiotu: TERAPIA PRZEZ SZTUKĘ Temat: Lepienie garnuszków i wazoników z masy solnej. Formy pracy: grupowa; Typ młodzieży: dzieci z 3 klasy szkoły podstawowej (w wieku 9 lat). Dzieci w normie intelektualnej; Liczba osób: klasa 20 osobowa; Czas trwania: 3 dni po 45 min; 1 dzień – łączenie składników, wyrabianie ciasta, modelowanie, wypiek. 2 dzień –...

Przydatność 50% Podstawy przedsiębiorczości - zaliczenie

1) Definicja przedsiębiorczości, przedsiębiorcy. Przedsiębiorczość - cecha działania zmierzającego do zapewnienia racjonalnej i efektywnej koordynacji zasobów gospodarczych przedsiębiorstwa oraz umożliwiającego osiąganie racjonalności gospodarowania oraz efektywności ekonomicznej, która wyraża stopień osiąganej racjonalności. Przedsiębiorca - ktoś, kto bierze na...

Przydatność 50% Funkcja jeżeli

funkcja jeżeli

Przydatność 55% Funkcja skóry

Funkcja skóry: 1.ochrona przed bakteriami 2.ochrona przed promieniami UV 3.wymiana gazowa 4.funkcja potu: -informacja o dorosłości i stresie -regulacja temperatury ciała 5.funkcja łoju: -elastyczna skóra -ochrona przed bakteriami 6.funkcja paznokcia: -ochrona i zwiększenie dotyku 7.funkcja włosa: -ochrona przed potem i pyłem -regulacja temperatury...

0 odpowiada - 0 ogląda - 1 rozwiązań

Dodaj zadanie

Zobacz więcej opcji